| 刘 守 贵 王 家 贵 (中昊晨光化工研究院 四川 自贡 643201)
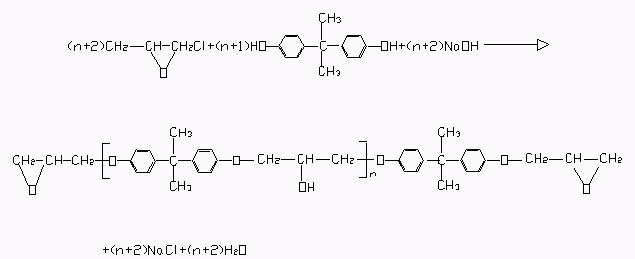
摘要:本文结合环氧树脂行业的生产和污染现状,从生产工艺和“三废”治理两个方面概要介绍新颖的实现环氧树脂清洁生产的方法和途径。 关键词: 环氧树脂 清洁生产 一 引言 我国人均土地占有量和水资源占有量只有世界人均占有量的1/3和1/4,人均矿产资源不足世界平均水平的1/2,属于典型的资源紧张国家。然而传统的落后的高消耗、低产出、高污染、无治理的工业生产方式正在进一步恶化环境,加速耗竭有限的资源,整体环境状况不容乐观。据统计,每年仅由于化工污染造成的经济损失就在1000亿元以上。彻底转变传统的发展模式,实现经济与环境的和谐协调发展已经刻不容缓。国内外大量的实践经验证明,以科学发展观为指导,实施清洁生产,发展循环经济是工业污染防治的最佳模式,是转变经济增长方式的重要措施,更是实现工业可持续发展的必由之路。 所谓清洁生产是指既可满足人们的需要又可合理使用自然资源和能源并保护环境的实用生产方法和措施,其实质是一种物料和能耗最少的人类生产活动的规划和管理,将废物减量化、资源化和无害化,或消灭于生产过程之中。同时对人体和环境无害的绿色产品的生产亦将随着可持续发展进程的深入而日益成为今后产品生产的主导方向。简言之,清洁生产就是用清洁的能源和原材料、清洁工艺及无污染、少污染的生产方式,科学而严格的管理措施,生产清洁的产品。其实质就是通过不断地改善管理和技术进步,从源头抓起,污染预防战略持续地应用于生产全过程,提高资源的利用率,将污染物消除或削减在生产过程中,使生产末端处于无废或少废排放状态。以降低对环境和人类的危害。其特点就是将生产与治理有机结合起来,实现资源和能源的最佳配置 [1]。 二 环氧树脂生产污染现状分析 环氧树脂作为一种典型的有机化工材料,具有优异的机械性能、绝缘性能、耐腐蚀性能、粘接性能和低收缩性能,广泛应用于化工、能源、建材、交通、机械、电子、电气、电业、水利等国民经济各个领域的涂料、浇注、封装、层压、粘接、防腐等,俗称“万能胶”。环氧树脂种类繁多,但用量最大,用途最广的最具代表性的环氧树脂是双酚A型环氧树脂[2,3]。 我国环氧树脂工业化生产至今已有近60年的历史,目前国内环氧树脂生产装置能力为60万t/a,2005年国内生产量为33万吨,消费量为63万吨,最近十年来以15~20%的速度快速增长,成为亚洲乃至全球的市场瞩目的焦点和投资热点[4]。环氧树脂的黄金发展周期已经到来。但表面的繁荣无法掩盖严峻的现实。同其它化工行业一样,环保污染问题不容乐观,已经成为制约整个环氧树脂行业发展的关键和瓶颈。究其根本,具体分析如下: 2.1由于过去长期计划经济体制的束缚,生产企业创新能力不足,环氧树脂生产工艺和品种几十年一贯制,环氧树脂行业普遍存在环保意识淡薄,重生产、轻污染、轻治理的弊端。只有生产装置,没有环保装置,即使有,由于技术落后,运行成本高,也是象征性的摆设。加之当时国家没有意识到环保问题的严重性,地方政府一味追求工业增长,听任企业边生产边治理,充当企业保护伞,没有严格实行“三同时”,结果是任由企业自由发挥,乱排乱放,偷排偷放。 2.2我国环氧树脂行业普遍存在产品结构老化,低端产品多,高端产品少,产品附加值低的问题。例如很多企业还在生产已经被淘汰的E-44产品。环氧树脂企业普遍存在追求“小而全” 、多元化的弊端,弱化淡化主业,没有作到“小而专”,“专而精”,“制造”多于“创造”,被动地跟着市场跑,没有主动引领市场的能力,无形之中分散了有限的精力和技术实力。为了应付激烈的市场竞争,根本无暇顾及环境治理问题。在这一点上日本应该是我们学习的榜样。日本环氧树脂总产能达到500千吨,但生产厂家只有10个,规模效益明显,专业化水平高,能够集中精力作大作精环氧树脂的某一个品种,进而有技术能力和经济实力开展清洁生产的研究。例如,原日本住友的邻甲酚醛环氧树脂产能和质量世界第一,模塑料市场占有率达80%以上就是很有说服力的典型, 2.3国内环氧树脂生产企业生产规模小,达不到经济规模,管理方式落后,生产工艺落后,操作自动化、机械化程度低,装置陈旧,企业开车不足,设备利用率低,产品的原材料、能耗偏高。相当数量的中小企业依然采用落后工艺组织生产,物料流失多,资源利用率低,“三废”产生量与生产装置能力不协调,其中部分企业根本没有进行“三废”治理和回收利用,全部直接稀释排放,造成严重的环境污染,环保污染问题突出。 2.4国内环氧树脂的发展局限于单纯的速度,规模,数量,没有从质量提高,品种的更新换代,科技进步上做文章,质和量没有统一。大量高附加值,高技术含量的产品仍然依赖进口,例如电子级环氧树脂,阻燃环氧树脂,液晶环氧树脂,多官能团环氧树脂等。国内环氧树脂的快速增长很大程度建立在低水平的重复建设基础上。直接的后果是环氧树脂低端产品一哄而上,产品结构进一步劣化和恶化,产品竞争对手相互倾轧,大打价格战,给予国外企业可趁之机,国外环氧树脂公司大举进军中国市场,纷纷在大陆建设生产工场,如广东宏仁、张家港陶氏化学、大连齐化、昆山南亚、建韬集团等,带进先进生产技术和管理理念的同时,高品质的产品不断挤压国内有限的市场空间,不断加剧市场竞争。国内企业一旦进入市场必定手忙脚乱,疲于应付激烈的市场竞争,产品利润薄,竞争力差,根本没有精力和技术实力,经济实力从事“三废”治理工作,造成今天的被动局面。据了解,国内只有少数几家大型企业如无锡树脂厂、岳阳巴陵石化、中昊晨光化工研究院及其它合资企业等对产生的“三废”进行充分治理,作到达标排放。 2.5 国家相关政策滞后,管理滞后,监控不力。例如目前我国环氧树脂工业污染物如废水,大气污染物,固体废弃物,无组织排放监控浓度、厂界噪音排放等,仍然主要执行《污水综合排放标准》(GB8978)和《大气污染物综合排放标准》(GB16297)。专门的《环氧树脂工业污染物排放标准》尚未正式出台实施。 2.6环氧树脂行业缺乏宏观规划和调控,布局不合理,地区分布不均衡,液体环氧树脂厂家分布于江苏一带,固体环氧树脂主要集中在安徽黄山一带,称为“黄山兵团”或“黄山模式”,整个西南地区仅有中昊晨光化工研究院一家,整个西北地区仅有蓝星兰州树脂厂一家。环氧树脂生产厂家点多面广,大大小小的生产企业达170多家,数量居世界之冠,比全球所有的厂家还多,生产能力却不到全球的1/10。国内企业除岳阳巴陵石化、无锡树脂厂、江苏三木和几家引进装置等企业采用先进工艺生产,规模为万吨级外,其它企业规模为百吨、千吨规模。导致布局分散,产生的“三废”不能实现“工业进园区”集中治理,大多数企业只能单独分散进行污染治理,即使资金技术都能解决,经济运行上也很难过关,无形之中任由环氧树脂生产的“三废” 的无序排放。 随着高新尖端科技的飞速发展,对适用的化工材料如环氧树脂提出了更高的质量要求。环氧树脂产品正在向系列化,精细化,无色化、专用化,高纯化,绿色环保化方向、性价比最大化方向发展。例如,用于电子封装材料的特种环氧树脂要求氯离子含量小于1ppm,可水解氯含量小于400ppm。要满足这些质量要求,必须在生产后处理工序上增加水洗次数和加大水洗用水量,无形之中增大了水洗废水排放量,而且由于环氧树脂生产溶剂的使用,不可避免的会出现污染隐患。因此强调环氧树脂产品本身高纯外,必须高度重视忽视生产和应用过程的绿色环境保护和治理的问题,二者只有形成一个有机和谐的整体,才可能实现环氧树脂产业的稳定可持续发展。 我国历来高度重视清洁生产,已于2003年1月1日起正式施行《中华人民共和国清洁生产促进法》,把实施清洁生产当作深化工业污染防治,构建资源节约型和谐社会的战略措施和根本途径,化工清洁生产刻不容缓,迫在眉睫。直接关系国家能否实现人与自然环境的统一和可持续发展的问题。因此目前环氧树脂行业几十年的环保历史遗留欠帐和产业现状,在短时间内消化解决困难重重,要实现清洁生产和循环经济任重道远。但环氧树脂行业要实现可持续稳定健康发展,作到清洁生产是唯一的一条必由之路。具体为:一方面必须转变观念,实施创新工程,技术进步落到实处,采用先进生产工艺,提高资源利用率,从源头根本上减少或克服“三废”的产生,变被动治理为主动的“废物减量化”。另一方面高度重视环境保护,加大环保投入,加强“三废”尤其是废水的治理,作到真正意义上的达标排放或零排放。 三 环氧树脂清洁生产途径 3.1改进环氧树脂生产工艺 3.1.1完善液体双酚A型环氧树脂合成工艺 双酚A型环氧树脂的反应方程式:
平均聚合度 n=0~19。n=0~2为液体环氧树脂, n=2~19为固体树脂。从反应方程式可以看出,不管采用何种直接法生产工艺,均会副产生成盐和水。要将盐与环氧树脂分离,去除干净,通常的生产工艺为使用芳香烃类或酮类有机溶剂进行溶解萃取,由于有机溶剂的引入,不可避免带来环境问题。例如水洗过程中不可避免会发生乳化现象;有机溶剂相进入水相,产生水洗废水;由于反应过程的不可控制性,必然产生一些普通溶剂难溶的环氧树脂的高聚物(俗称老化树脂)。 合成工艺包括一步法和二步法。一步法工艺是把双酚A和过量环氧氯丙烷直接在NaOH作用下进行缩聚,回收过量的环氧氯丙烷,进一步环氧化,加入芳香烃溶剂溶解,水洗,回流,脱溶剂得到环氧树脂。二步法工艺是将双酚A和环氧氯丙烷在相转移催化剂作用下,首先通过加成反应生成二酚基丙烷氯醇醚中间体,接着在NaOH存在下进行闭环反应,生成环氧树脂。采用一步法和二步法生产存在环氧树脂的高聚物多,产品单耗高,产品质量差的缺陷。 经过几十年的研究和发展,真空负压回流加碱工艺成为目前国内外企业广为采用的主流生产工艺。真空负压回流加碱工艺即直接将双酚A与环氧氯丙烷溶解,控制体系一定的真空度和酸度,连续加入高浓度液碱,反应生成的水和过量的环氧氯丙烷通过蒸馏冷凝成液体分层,环氧氯丙烷回到体系中,水离开体系,反应完成,回收过量的环氧氯丙烷,加入溶剂溶解,再加入液碱进行精制反应,再加入溶剂萃取环氧树脂,水洗分离副产物盐、脱溶剂、过滤得到双酚A型环氧树脂。该工艺具有产品质量稳定,废聚物少,原材料单耗低,产生“三废”量少的优点。 环氧树脂创新生产工艺显得尤为迫切和十分必要。国内有的企业已经意识到这一点。岳阳巴陵石化张晖[5]等选择合适的助剂(相转移催化剂)进行双酚A与环氧氯丙烷的醚化反应,反应完全后回收过量的环氧氯丙烷,然后加入甲苯溶解,再加入液碱进行闭环反应,经水洗,脱溶剂等后处理工艺,得到的树脂环氧值为0.550~0.560eq/100g,粘度为3000~5000mpas(25℃),环氧氯丙烷单耗为550kg/t产品。该合成工艺新颖之处在于加碱前回收过量的环氧氯丙烷,醚化产物粘度低,组分单一,可以短时间内完成回收,有效的节约了宝贵的能源,并得到不含其它组分的高纯度的环氧氯丙烷,避免了环氧氯丙烷的水解损失和付产物的产生,没有回收废水产生。克服了传统的生产工艺回收时体系粘度极大,组分多,分离困难,回收废水量大的缺陷,该法虽需进一步经中试验证其工业化可行性,但给予环氧树脂企业有益的启示,创新和技术进步是一个企业生存和发展的灵魂,是环氧树脂企业清洁生产的动力。 3.1.2完善后处理工艺 3.1.2.1选用合适的溶剂 环氧树脂溶解度参数为19.8(J/cm2)1/2,环氧树脂生产必需的溶剂的选用十分关键,必须选择溶解度参数与环氧树脂相接近的溶剂,必要时采用混合溶剂,例如甲苯-正丁醇,甲基异丁基酮-正丁醇等。表1为不同溶剂的相关参数,可供借鉴。
过去国内厂家生产中,低分子量的液体环氧树脂采用苯作溶剂。苯具有和环氧树脂相接近的溶解度参数,相溶性好的特点,但沸点较低(78℃),水洗温度相对较低,易乳化,产品存在严重的气味。采用甲苯(沸点110℃),或甲基异丁基酮(沸点115℃)作为溶剂,毒性较小,水洗温度较高,基本上无气味,水洗分层效果好,不易乳化,可以减少水洗排放水量中的甲苯量,减少处理负荷,有效降低COD值,保护环境。此外,甲基异丁基酮也是一种性能优异的溶剂,虽然毒性小,但由于挥发性大,酮类溶剂特有的气味令人不愉快,易造成大气污染,国内企业较少采用。对于使用一段时间后的溶剂进行蒸馏处理,残留的高沸点的溶剂直接用于生产涂料,例如环氧煤沥青涂料。 3.1.2.2改革回收方式 对于生产过程回收环氧氯丙烷产生的废水,每生产1吨环氧树脂约产生0.5~1.0吨回收废水,我们知道环氧氯丙烷在水中的溶解度(20℃)为4.5~6 %,过去采用釜式蒸馏加水共沸回收过量的环氧氯丙烷,时间长,水解损失大,同时造成环氧氯丙烷单耗增高。目前国外公司已不再采用加水共沸的方式,而是加入芳烃类入甲苯,二甲苯等,醇类,如正丁醇,异丙醇等。酮类,如甲基异丁基酮等共沸,用旋转薄膜蒸发器脱除,最后采取萃取、精馏装置进行精馏分离。原材料不仅回收利用,产品原材料消耗降低,环氧树脂成本得到降低,而且精馏分离后的水相环氧氯丙烷含量≤0.01%,废水排放量减少,经简单处理即可达标排放。国内已有专利报道采用乙醇,水与废水中的甲苯形成三元共沸物与环氧氯丙烷废水一道进行精馏分离回收环氧氯丙烷及甲苯,回收利用率高达98%以上。 3.1.2.3采用先进的创新生产工艺和设备 环氧树脂生产工艺技术软件不能墨守成规,要消化,吸收,创新国内外的先进技术,实施“拿来主义”和扬弃,因地制宜在生产工艺环节上下工夫,形成自己的专有技术特色。真空负压回流分水加碱工艺是降低原材料单耗,减少副产物,提高环氧树脂品质的必由之路。环氧树脂生产硬件上不能抱残守缺,应根据国内外的先进的生产工艺和一些技术诀窍加以改造,采用新技术,新设备。例如电子称计量技术;螺旋输送器给投料技术;薄膜蒸发器回收环氧氯丙烷,脱溶剂技术;环氧氯丙烷自动相分离回收技术;精密过滤技术;固体成品树脂自动造粒包装计量技术等。 环氧树脂生产过程中必须完善水洗、过滤、脱溶剂等后处理工艺,确保成品树脂中可能残留的微量杂质,如水、有机溶剂、NaCl、游离酚、环氧氯丙烷水解高沸物及其它机械杂质等不会影响环氧树脂的电性能、色泽、贮存性能及固化物的理化性能。传统的釜式蒸馏脱溶剂方式易使成品树脂残留的溶剂(挥发份)含量偏高,长周期的真空高温脱溶过程导致成品色泽加深和真空尾气含有大量的有机溶剂。造成大气污染。采用薄膜蒸发器脱除溶剂[ 6 ]可以使环氧树脂在高温下极短的停留时间,溶剂脱除效率高,易于控制成品树脂残留的溶剂(挥发份),可以实现连续化后处理,提高生产效率。 采用弱酸如CO2(干冰)、醋酸、磷酸、磷酸二氢钠,硫酸氢钠等中和过量的碱,使反应体系保持为弱酸性,水洗分层效果好,不易乳化。同时在助滤剂如硅藻土,活性白土,硼润土,高岭土等存在的情况下采用新型过滤机械滤除体系中生成的盐和机械杂质,则能大大减少水洗次数和废水量。 3.1.2.4加强水洗研究 环氧树脂生产企业务必加强与国内科研院所的沟通和技术交流,吸收先进的水洗研究成果,尽快转化为企业生产力。欣慰的是国内众多生产企业和研究单位已经意识到这个问题,已经开始进行深入细致的研究。尽管采用水洗工艺很难把无机氯含量降低到1ppm以下,但水洗工艺仍是必要的,关键是如何完善水洗后处理工艺,减少水洗次数,尽量减少“废水”排放量。包宗宏[7]采用连续水洗法对环氧树脂溶液进行处理,可以将无机氯含量从1000ppm降到10ppm,而产生的废水量很小,且可以循环利用。 任孝林[ 8]等研究了环氧树脂水洗过程的乳化现象,指出溶解萃取水洗过程不可避免会出现乳化现象,水洗次数愈多,乳化愈严重,大量的环氧树脂-有机溶剂的乳液进入废水中。乳化是由于闭环反应不完全产生的含羟基的副产物的存在,乳化形式为W/O型,羟基与水亲和,形成稳定的界面层。解决办法为精制阶段采用低浓度碱并加入溶剂溶解。 于文东[9]等人另辟途径,采用离心萃取器离心分离氯离子含量极高的纯粹的环氧树脂液和环氧树脂-苯溶液,经工业化装置试验,前者使无机氯下降到100ppm以下,后者则下降到5ppm以下,达到电工级水平,而不产生水洗废水。 3. 1.3二步扩链法(advancement)生产中高分子量的环氧树脂[10] 通常生产中高分子量固体环氧树脂采用一步法(Taffy法)直接生产,生产过程中产生大量含有碱、盐、游离酚、环氧氯丙烷、环氧树脂等的水洗废水,有的厂家采用催化溶剂法生产,存在如液体环氧树脂生产一样的废水污染问题,值得注意的是随着树脂分子量的加大,溶解性能减弱,在水洗后处理过程中发生乳化的可能性进一步增加,水洗难度加大,水洗次数增加,从而增加 “三废”量。
二步扩链法生产工艺则可以克服一步法的缺陷,具有一步法所不具备的优点,例如反应为加聚反应,没有付产物产生,从源头上杜绝了“三废”的产生。反应周期短,反应为放热反应,反应过程可以充分利用反应的放热维持反应所需的能量,能源消耗低,通过调节双酚A的用量易于控制产品质量。具体优劣比较见表2。本工艺关键在于催化剂的选择,要求催化剂具有高活性和选择性,其次对于基础环氧树脂要求支化程度低,总氯含量低,否则有交联的可能。二步扩链法生产环氧树脂不失为一种理想的绿色环保的生产方法。国外公司已经有预加有催化剂的低分子液体环氧树脂,专门用于生产相对分子量较高的环氧树脂。催化剂主要为高选择性的三苯基磷之类的衍生物。具体合成方法如下:将环氧当量低的液态基础环氧树脂如E-54、E-51等和双酚A加入反应釜中,溶解,升温到145~155℃加入催化剂进行扩链加成反应,维持反应1~2h,即得产品。双酚A用量计算公式如下:
对于中低溴含量的溴代双酚A型固体环氧树脂同样可以采用类似双酚A型固体环氧树脂的二步扩链法进行生产,具体四双酚A用量计算公式如下:
3.2 采用闭路循环工艺治理“三废” 环氧树脂生产主要产生废水,每生产一吨环氧树脂同时产出高浓度有机、无机废水8~16吨,废水中含盐、碱、甲苯、甘油、老化树脂等无机、有机污染物,其CODcr高达2.0~3.0×104mg/l,处理难度极大。高浓度废水污染的治理问题已经成为阻碍环氧树脂行业发展的一个急需解决的关键问题。 3.2.1国外环氧树脂废水处理方法[11] 国外环氧树脂废水有三种处理方法,即喷雾干燥法、焚烧法和稀释生化法。喷雾干燥法即将环氧树脂废水喷雾干燥得到氯化钠,氯化钠经异丙醇萃取用于氯碱工厂作为电解生产氯气和氢氧化钠的原料;焚烧法即先多级蒸馏环氧树脂废水,分离出甲苯回收利用,浓缩脱水得到粗盐,再进焚烧炉焚烧处理;单纯的稀释生化法则是将废水先稀释,然后进行生化处理。废水稀释的目的主要是减轻废水中Cl-和甲苯对微生物的毒害,同时废水的BOD与COD之比小于0.2,生物可降解性极差,而且环氧树脂废水中含有的老化树脂为大分子中间产物,不能被微生物利用。 安徽化工研究院司景[12]提出如下的环氧树脂废水治理工艺:含甲苯废水静置分离粗甲苯,经提馏可回收精甲苯;废水中的甲苯浓度降至560~570mg/l。由于高浓度甲苯废水的可生化性较差,不易被生化降解,需采用活性炭吸附塔吸附脱除甲苯。经气浮除去悬浮的有机层(老化树脂)送活性炭吸收塔吸收脱除甲苯,失活的饱和活性炭与煤炭一起混合作为锅炉燃料,不会引起二次污染,下层水层与环氧氯丙烷废水经热力水解成为易生物降解的丙三醇废水汇集,经厌氧,好氧生物氧化处理后达标排放。 比较上述几种治理方法,均存在运行体系没有分离老化树脂,很难长周期稳定运行,投资较大,大量的有机物(老化树脂、溶剂)没有充分回收,运行费用偏高的缺陷。焚烧法存在焚烧耗油量大,产生的废气还需经过喷淋洗涤才能排空的问题,同时焚烧炉常被残余的盐和碱类灰分堵塞,影响正常操作;每吨废水处理费用高达300~500元人民币;生物降解法消除COD的能力极其有限。废水达标排放主要依靠稀释的作用,事实上有机废物绝对总量并没有得到减少。总之,这些方法并不适合我国国情,很难推广。 根据环氧树脂生产工艺特点和废水组成,目前较先进的符合国内生产实际的切实可行的处理工艺为废水闭路循环处理工艺。 3.2.2环氧树脂废水闭路循环理论分析 闭路循环工艺是指在生产流程中相对较后的生产工序产生的某种物料全部或部分经处理或直接被重新回用于相对较前的生产工序的生产工艺或处理成为产品[13]。环氧树脂清洁生产是一种集成新技术,以环氧树脂高浓度废水治理闭路循环新工艺为主体核心关键技术,以环氧树脂洗涤水套用技术和老化树脂资源化技术为辅,三个技术有机组成的生产技术系统。环氧树脂生产过程加入的水和反应生成水、设备清洗水、生活用水等,加入的有机溶剂,加入的过量液碱等经物理方法如蒸馏、萃取、离心分离处理单独形成闭路循环,碱,水回到前工序,老化树脂作为产品外售,最终提高物料的利用率,实现资源的再利用。具体物料循环见图1。 在废水体系闭路循环过程中,物料的浓度及体积都会不断增加,但增加有限度,通过进行数学模型分析和连续运行验证,闭路循环可以无限进行。从理论分析,该闭路循环无限次,则可实现高浓度废水的“零排放”,实现清洁生产;循环有限批次,高浓度废水的排放量大大减少,大幅度降低废水处理的负荷。 陈建新[14]等根据以上分析,建立了环氧树脂清洁生产工艺及其物料的浓度和体积的极限或平衡的数学模型,如下式所示: X∞=V0*X0/[(1-f)( V0+ Ve)] V∞ = V0/ (1-f1) (式中:X浓度,v体积,f残留率,f1体积残留率,下标0初始值,e循环值,∞极限值或循环平衡值)。
通过环氧树脂高浓度废水治理闭路循环新工艺将环氧树脂废水分离成为老化树脂、结晶盐NaCl、蒸发冷凝水和液碱回用,解决环氧树脂废水的污染问题。而环氧树脂洗涤水套用技术可以大幅度的降低环氧树脂废水的体积,从而降低环氧树脂高浓度废水治理闭路循环新工艺的蒸发量。老化树脂中含有一定量的环氧树脂成品和甲苯,老化树脂的有用成分得到回收利用,降低老化树脂进一步处理的费用,大大提高废水处理的经济效益。三个技术有机结合形成的环氧树脂清洁生产技术可以达到最优的处理效果,实现环境效益、社会效益和经济效益的统一。 3.2.3 环氧树脂废水成分分析 环氧树脂生产过程中产生的废水主要来源于液碱带入水、反应生成水,树脂洗涤提纯消耗水及其它用水,属于有机-无机混合物,成分复杂,主要可分为三大类: (1)有机物 主要为甲苯和由双酚A和环氧氯丙烷缩聚反应生成环氧树脂过程中的大分子废聚合物,俗称老化树脂;其中还含有少量未完全反应的原料如苯酚、丙酮和有机溶剂甲苯、丁醇,微量环氧氯丙烷水解产生的甘油等。 (2)无机物 如NaCl、NaOH、NaCO3等,有的厂家采用磷酸中和,还存在Na2HPO4等。 (3)水 树脂制造工艺中引入的无离子水,工业水,生活用水。 3.2.4环氧树脂废水闭路循环系统介绍 环氧树脂生产过程中产生的废水主要来源于树脂的洗涤提纯,这种废水属高浓度有机废水与无机废水的混合物,老化树脂与含盐碱废水的分离是废水处理的关键。经研究发现废水中含有一定量的碱可以有效地分出老化树脂、氯化钠和氢氧化钠,据此可以建立闭路循环工艺流程。老化树脂可以进一步处理,回收其中的环氧树脂和甲苯;NaCl结晶可以作为工业盐出售;冷凝水温度较高,可以回用作为洗涤水,液碱也可回用生产。采用闭路循环的方式,废水中的大部分有用物质基本得到回收利用。 环氧树脂反应结束后,向树脂混合物中加高浓度氢氧化钠,彻底水解氯表醇,再添加甲苯溶解萃取环氧树脂,然后离心分离脱去大部分盐饱和液(此饱和盐液可直接进行浓缩结晶),上清液为含有大量环氧树脂的甲苯溶液。此清液经逆流套洗除盐后,蒸馏得到纯净的环氧树脂成品,回收的甲苯可作溶剂重复利用。套洗的高浓度废水进入废水治理闭路循环。首先经分相得到老化树脂和盐碱溶液,老化树脂可进行重复利用,对碱盐液可蒸发浓缩,得到纯度较高的氯化钠,结晶母液可直接用作氯表醇的水解和回到前段工序例如精制工序利用,而蒸馏冷凝液可做树脂洗涤用水。环氧树脂废水治理流程如图2。
3.2.5环氧树脂废水闭路循环系统成本预分析 以一套10000吨/年环氧树脂生产装置计算,环氧树脂清洁生产系统运行由于采用套洗技术,废水量大大降低,蒸汽用量降低。老化树脂资源化,有机溶剂甲苯回收利用,浓缩的液碱回用于生产。经测算,回收环氧树脂约200kg,回收甲苯100kg,回收液碱(30%)300kg。环氧树脂的价格按2.5万元/吨产品计。全年按300天开车计,可降低费用为: 甲苯: 100×300×7﹦23.2万元 环氧树脂(老化树脂): 200×300×25﹦150万元 液碱(30%): 300×300×0.8﹦7.2万元 合计: 180.4万元 环氧树脂污水处理费用: 100~150万元 可见采用环氧树脂清洁生产工艺后,不仅实现了环氧树脂污水的零排放,而且实现了一定的经济,社会和环境效益。 3.2.6应用实例 国内其它厂家在此基础上结合自身实际提出符合生产的处理工艺,无锡树脂厂与江南大学生物工程学院 [15 16 17]合作,并对老化树脂进行了研究,提出了整套回收工艺,并对于乳化的树脂液采用离心分离装置进行分层处理,树脂液回到前工序利用,老化树脂层则采用强极性溶剂溶解,经脱除溶剂后得到的树脂环氧值达到0.45eq/100g以上,可以用于防腐领域,最终开发成功环氧树脂高浓度废水治理闭路循环新工艺。简介如下:高浓度水洗排放废水进入废水调节池,添加絮凝剂,油水分层,采用上浮溢流法将上浮于水相之上的油层分离,油相回收利用,除油后的碱盐水溶液蒸馏浓缩结晶,盐结晶与母液分离,其母液循环进入废水调节池,物流主体构成封闭循环圈。通过控制各单元操作的工艺条件,使各操作点物性不再变化而在某一数值的上下浮动。循环5~6批时达到平衡态,在平衡态下操作周而复始。实现真正意义上的闭路循环和清洁生产。该技术最大的突破在于采用上浮分油法将老化树脂和废水相彻底分离,使污水治理装置能够长周期稳定运行。据资料介绍,该技术在该厂15000吨/年环氧树脂装置生产运行中,一天可回收0.78吨环氧氯丙烷,1年节约污水处理费118万元,降低物耗128万元;后者每年可产生经济效益40万元,节约污水处理费50万元,所有的投入年内全部收回成本,取得了可观的经济效益和社会效益。通过回收处理,不仅大幅度减少排放量,充分回收宝贵的资源甲苯,环氧树脂,盐,液碱,而且具有投资少,运行费用低,经济和环保效果好的特点,实现了真正意义上的循环经济。 中昊晨光化工研究院[18]摸索成功了一套环氧树脂废水处理工艺,不仅将废水回用于前面水洗工序,而且将浓缩得到的液碱回用于生产,树脂回收利用,结晶得到的盐外售于氯碱企业,不仅创造了经济价值,而且作到清洁生产,避免了环境污染,取得了良好的社会效益。 南亚环氧树脂(昆山)有限公司[19]将盐脚废水经有机相分离后,无机相通过中和,浓缩,结晶得到可用于工业生产的工业用盐。 四 结语 环氧树脂行业只有通过完善和改进生产工艺,加强“三废”治理,采用废水闭路循环系统彻底整治废水零排放,实现清洁无害化生产才可能实现良好的经济效益、社会效益和环境效益,真正作到持续稳定协调发展。 参考文献 1冯良等编《清洁生产知识丛书》[M] 中国检察出版社[2004] 2 孙曼灵等《环氧树脂应用技术与原理》[M] 机械工业出版社 [2001] 3 王德中等《环氧树脂生产与应用》 [M] 化学工业出版社 [2001] 4 蒋均荣 国内外环氧树脂发展概况 《热固性树脂》[J] 2004 17 (4) 22~25 5 张晖等 《第十次全国环氧树脂应用技术学会论文集》[2003]P50~54 6 孙根新 顾良忠等 环氧树脂脱溶方式的改进 《热固性树脂》[J] 2004 19 (4) 22~24 7 包宗宏 环氧树脂连续化水洗工艺研究 《热固性树脂》[J] 2000 15 (1) 5~7 8 任孝林 曹爱军 马东尧等 环氧树脂水洗乳化研究 《热固性树脂》[J] 1997 12 (1) 5~7 9 于文东 E-44环氧树脂胶液的净化 中国环氧树脂网文章 10 刘守贵 固体双酚A环氧树脂合成工艺述评 《环氧树脂应用技术》 [J] 2000 17 (1) 14~16 11 Rndnenko E V,et al. Recovery of chloride from wastewaters from epoxy resin production [J] Lakokras mater Ikh Primen,1998,(4)69~71 12 司景 《高品质环氧树脂废水污染防治》 中国环氧树脂网文章 13 邱鹏等 环氧树脂的清洁生产 化工技术经济 [J] 2004 8 16~20 14 陈建新 张建华 刘群等 环氧树脂清洁生产工艺及其数学模型 《热固性树脂》[J] 200318(4) 20~22 15 陈建新 张建华 刘群等 环氧树脂生产中老化树脂资源化工艺研究 《热固性树脂》[J] 2000 15(3) 17~20 16 毛忠贵 张建华等 一种治理环氧树脂高浓度废水的闭路循环工艺 [P]. CN1263051A 1999 17 胡玉明 环氧树脂废水治理 《聚合物网络通讯》[J] 2003 18(4) 20~22 18 《环氧树脂废水治理工艺及副产工业盐的回收利用》晨光化工研究院(2006) 19 南亚环氧树脂(昆山)有限公司 《环氧树脂副生工业盐生产简介》中国环氧树脂网文章 |










Leave a Reply
要发表评论,您必须先登录。