| 阻燃抑烟环氧树脂的合成及其性质
赵贵哲 刘亚青 周艳明 朱福田 (中北大学材料科学与工程学院,山西 太原 030051) 摘 要:以磷酸、三聚氰胺、尿素为原料制备阻燃抑烟剂聚磷酰氰胺脲,然后将其应用于 TDE-85#环氧树脂中,以顺丁烯二酸酐为固化剂制备了阻燃抑烟环氧树脂。研究了阻燃抑烟剂聚磷酰氰胺脲的吸湿性,纯环氧树脂和阻燃抑烟环氧树脂的极限氧指数、UL-94 阻燃性、隔热性能、烧蚀速率和透光率等。研究结果表明,聚磷酰氰胺脲对环氧树脂具有非常优异的阻燃、抑烟功效。 关键词:聚磷酰氰胺脲; 环氧树脂; 阻燃性能; 抑烟性能 中图分类号:TQ 314.24 8 文献标识码:A 文章编号:1000–6613(2007)01–0060–05 作为一种历史悠久的聚合物,环氧树脂在各种包封材料、涂料、土木、建筑、胶黏剂、电子、航空等领域获得了广泛应用,但环氧树脂的易燃性、 离火后持续燃烧且冒出大量的黑烟等使它在很多领域内的应用受到了极大的限制。卤系阻燃剂虽能有效的阻止燃烧,但却会产生大量的腐蚀性有毒气体,如卤化氢、双苯二口恶 英及双苯呋喃等,导致更为严重的二次污染,因此,无卤阻燃环氧树脂是研究的重要趋势。综观现状,国内外对环氧树脂无卤阻燃改性的研究主要集中在磷、氮、硅阻燃体系上,其核心包括两个方面:一是研究开发适用于环氧树脂的新型磷、氮、硅阻燃剂;二是研究开发含磷、氮、硅的本质阻燃环氧树脂。 与火焰相比,浓烟的潜在威胁更大,阻燃材料在获得阻燃性能的同时不应以过大的烟密度为代价,这已成为人们的共识,现代“阻燃”的概念已经涵盖了抑烟功能。无卤、低烟、低毒阻燃改性仍是当今世界环氧树脂研究的热点课题。 本文首先以磷酸、三聚氰胺、尿素为原料制备了低吸湿性的阻燃抑烟剂聚磷酰氰胺脲,接着将其应用于 TDE-85#环氧树脂中。 1 实验部分 1.1 原材料 TDE-85#环氧树脂,工业级,天津东丽化工厂;顺丁烯二酸酐,分析纯,天津市科密欧化学试剂开发中心;磷酸,工业级,四川什坊化工有限公司; 尿素,工业级,山东峄山化工集团和顺尿素厂;三聚氰胺,工业级,北京化工厂。 1.2 工艺 1.2.1 阻燃抑烟剂聚磷酰氰胺脲的制备工艺 将物质的量比为 10∶3 的磷酸和三聚氰胺加入到不锈钢反应釜中,搅拌,加热升温至 150 ℃,得无色透明的液体。此时,再加入与磷酸物质的量比 为 5∶4 的尿素,则体系温度迅速降至 120 ℃,提高升温速率,使体系温度迅速升高,得白色固体,此即为阻燃抑烟剂聚磷酰氰胺脲。自然冷却至室温,粉碎,过 200 目筛,备用。 1.2.2 环氧树脂的固化工艺 将 100 份环氧树脂与 30 份(质量分)阻燃抑烟剂聚磷酰氰胺脲混合,加热至 80 ℃后加入 20 份顺丁烯二酸酐,继续加热,直至顺丁烯二酸酐完全熔融成为液体,均匀混合后倒入涂有脱模剂的模具内。将模具置于 70 ℃的普通烘箱中,恒温保持 3~4 h,取出冷却至室温,得阻燃抑烟环氧树脂。 1.3 性能测试及表征 (1)吸湿率 对阻燃剂吸湿率的测定目前尚无明确的标准,本文采用如下方法。实验温度为室温,湿度为 95%,所用容器是内径 200 mm、盛有 400 mL KNO3饱和 溶液的干燥器。干燥器的口部涂有凡士林,容器内隔板高于液面约 80 mm,隔板上放置内装 10.000 0 g粉状阻燃抑烟剂聚磷酰氰胺脲(精确到 0.000 1 g)的加盖称量瓶,每种样品称取 3 个试样。每隔 5 昼夜取出试样称量一次,按下式计算吸湿率
式中 ai —— 不同吸湿时间后样品和称量瓶的总质量(i=5、10、15、20、25 天),g; b —— 吸湿前样品和称量瓶的总质量,g; Ci —— 吸湿率,%; G —— 吸湿前样品的质量,g。 (2)氧指数(LOI) 在 CH-2 型氧指数测定仪上按照 GB/T 2406—1993 测定样品的 LOI 值。 (3)膨胀炭层结构分析 采用 JSV-5900 LV 型扫描电子显微镜分析,取燃烧后的残炭,在样品真空镀膜仪上镀金 30 min,然后在 SEM 仪上用所需放大的倍数观察、摄像, 得残炭结构微观图。 (4)热重(TG)分析 在 Perkin Elmer 热分析仪上进行测试。温度范围 50~750 ℃,升温速率 10 ℃/min,气流速度50 mL/min。 (5)隔热性能 设计如下的方法测试材料的隔热性能。测试样品如图 1 所示。测温孔距离灼烧面 8 mm。将试样上表面放到酒精喷灯上灼烧,观察孔内温度随时间的变化情况。 (6)透光率 用烟箱法测试样品在烧蚀后的红外光透过率、可见光透过率、激光透过率。
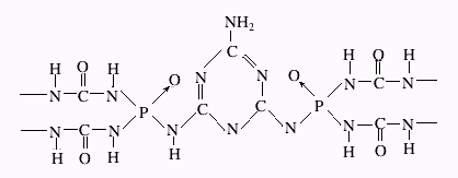
2 结果与讨论 2.1 阻燃抑烟剂聚磷酰氰胺脲的吸湿性能 所制阻燃抑烟剂聚磷酰氰胺脲具有如下的结构通式:
它是一集 P、N 于一体的单组分膨胀型阻燃剂。由于分子中仍保留有一定量的—NH2 基,可以与环氧树脂中的环氧基发生化学反应,因此,它是环氧树脂的反应型阻燃剂。 由于对材料抑烟、减毒的要求日益严格,使当今许多传统的阻燃剂面临困境,膨胀型阻燃剂由于其自身的优势成为目前阻燃剂最为活跃的研究领域之一,也被认为是实现阻燃剂无卤化很有希望的途径之一。但膨胀型阻燃剂的吸潮问题一直困扰着人们,为此,首先研究了所制阻燃抑烟剂聚磷酰氰胺脲的吸湿性能。 所制聚磷酰氰胺脲阻燃抑烟剂吸湿率的测试结果如图 2 所示。
由图 2 可以看出,阻燃抑烟剂聚磷酰氰胺脲的吸湿率与放置时间基本呈线性递增的关系,但在第15 天后增加趋势趋于平缓,第 30 天的吸湿率仅为 0.15%,大大低于目前常用的膨胀型阻燃剂,并且不会对其在树脂中的分散性能、阻燃性能和抑烟性能产生任何影响。 2.2 阻燃抑烟剂聚磷酰氰胺脲的阻燃性能 为了研究阻燃抑烟剂聚磷酰氰胺脲对顺丁烯二酸酐固化的 TDE-85#环氧树脂阻燃性能的影响,测试了纯环氧树脂固化物、阻燃抑烟环氧树脂固化物的极限氧指数和 UL-94 阻燃性,结果如表 1 所示。
由表 1 可知,阻燃抑烟剂聚磷酰氰胺脲的加入使环氧树脂的极限氧指数由 21 提高至 53,提高幅度达 150%,这是一般的阻燃体系所不能达到的,也未曾见过报道。 膨胀型阻燃剂的作用机理是使高聚物受强热或燃烧时表面生成一层均匀的多孔炭质泡沫层,此层隔热、隔氧、抑烟,并能够防止熔滴产生,因此, 多孔炭质泡沫层生成的速度和质量是决定膨胀型阻燃剂阻燃效果的关键。而要生成高质量的炭质泡沫层,阻燃剂必须与被阻燃高聚物相匹配(包括热行为、受热条件下形成的物种及其他)。TDE-85#环氧树脂的结构通式如下:
它具有不含不饱和键、炭氧比高的特点,采用顺丁烯二酸酐作固化剂,使炭氧比进一步提高。阻燃抑烟剂聚磷酰氰胺脲中大量的 P—N 键中间体是比常 规的磷化合物更佳的磷酸化试剂,它更有利于炭质泡沫层的形成,特别是对于炭氧比高的聚合物。而作为协同阻燃氮源的三聚氰胺和尿素,在燃烧时还能促进这种 P—N 中间体的形成。因此,阻燃抑烟剂聚磷酰氰胺脲可使环氧树脂酸酐固化物燃烧时生成高质量的炭层,因而具有非常优异的阻燃、抑烟效果。 两种试样烧蚀后形成的炭层的电镜照片见图 3 和图 4。
图 3 显示,纯环氧树脂烧蚀后的炭层疏松多孔呈蜂窝状,孔大且深,因而难以阻断氧气的进入和热量的传递,致使燃烧时孔内产生的 H·、CO 等裂 解产物与氧气反应形成 H2-O2系统,通过链支化反应使火焰迅速传播,是造成持续燃烧、氧指数偏低的主要原因。由图 4 可见,添加有阻燃抑烟剂聚磷酰氰胺脲的环氧树脂生成的炭层发生了明显的变化,由原来的蜂窝状结构变为片层状结构,表明燃烧过程中酸源起到了很好的脱水炭化作用。生成的片层状炭层紧紧地附着在材料表面,一方面阻断了氧气的深入和热量向内部的传递;另一方面阻燃抑烟剂聚磷酰氰胺脲本身受热分解生成的 P2、PO、PO2、HPO2 和 NO、NO2 等从片层状炭层的缝隙中逸出,不但结合了氢自由基使链支化反应终止,而且释放出的惰性气体还可以稀释燃烧区的氧气浓度,因此,具有非常优异的阻燃抑烟性能。 为了进一步研究加有阻燃抑烟剂聚磷酰氰胺脲的环氧树脂烧蚀后生成的炭质泡沫层的质量,分别测定了纯环氧树脂、阻燃抑烟环氧树脂的隔热性能, 所得曲线见图 5。
由图 5 可以看出,纯环氧树脂酸酐固化物在酒精喷灯上灼烧不到 4 min,测孔内的温度已经达到150 ℃,随后整个样品燃烧,无法继续测试;阻燃抑烟环氧树脂在灼烧4 min后,测孔内的温度为51 ℃;灼烧 20 min 后,测孔内的温度为 154 ℃,隔热效果明显。测试现象显示,在酒精喷灯上灼烧时,纯环氧树脂酸酐固化物着火并冒出大量的黑烟,灼烧时间越长火势越大,样条厚度逐渐变薄;而阻燃抑烟环氧树脂灼烧时,表面成炭发泡膨胀,生成的炭质泡沫层可阻止氧气的进入和热量向内部的传递。故 4 min 时,测孔内的温度仅有 51℃,灼烧 20 min后,材料表面形成的膨胀炭层高达 4 cm,且随着灼烧时间的延长膨胀炭层越来越厚。由于生成的炭质泡沫层具有非常优异的隔热、隔氧作用,所以后期测孔内的温度上升的越来越缓慢。 对纯环氧树脂酸酐固化物和阻燃抑烟环氧树脂酸酐固化物所做的烧蚀速率测试结果也证实了这一点。纯环氧树脂酸酐固化物的烧蚀速率为 0.86mm/s,而阻燃抑烟环氧树脂酸酐固化物的烧蚀速率不到 0.08 mm/s。见表 2(测定烧蚀速率时将表面的炭层去处后再测试)。
图 6 和图 7 是纯环氧树脂固化物、阻燃抑烟环氧树脂固化物的 TG 和 DTG 曲线。
由图 6 和图 7 可以看出,纯环氧树脂酸酐固化物的初始热分解温度为 346 ℃,阻燃抑烟环氧树脂酸酐固化物的初始热分解温度为 289 ℃,比纯环氧树脂酸酐固化物提前了 56 ℃;纯环氧树脂酸酐固化物 500℃时的失重率为 86.12%,阻燃抑烟环氧树脂酸酐固化物 500 ℃时的失重率为 52.50%,比纯环氧树脂酸酐固化物减少 33.62%。 造成阻燃抑烟环氧树脂初始热分解温度提前的原因在于阻燃抑烟剂先于环氧树脂分解,符合常规的阻燃原则。阻燃抑烟环氧树脂的分解温度虽有一定的前移,但残炭剩余量却由纯树脂的 13.88%提高到 47.50%,表明阻燃抑烟剂聚磷酰氰胺脲的加入提高了 TDE-85#环氧树脂的成炭能力。 2.3 阻燃抑烟剂聚磷酰氰胺脲的抑烟性能 虽然阻燃和抑烟是对阻燃材料同等重要的要求,但两者却往往是矛盾的,经阻燃处理的聚合物,其生烟量往往会增高,但本文合成的聚磷酰氰胺脲却同时具备阻燃和抑烟的功效,使两者达到了和谐统一。纯环氧树脂固化物、阻燃抑烟环氧树脂固化物透光率的测试结果见表 3。
由表 3 可知,阻燃抑烟环氧树脂的发烟量大幅度降低,其红外光透过率由纯树脂的 35.8%提高至 90%以上,可见光透过率由纯树脂的18.2%提高至89.3%,激光透过率由纯树脂的 0 提高至 80.2%,说明阻燃抑烟剂聚磷酰氰胺脲加入后,将燃烧时本欲成为烟雾的裂解碎片和小分子物质在酸源和氮源的作用下都滞留在了炭层中,47.50%的残炭剩余率也证实了这一点。因此,生成的高质量的炭质泡沫层不仅赋予材料优异的阻燃性能,而且赋予材料优异的抑烟性能。 4 结 论 (1)制备的阻燃抑烟剂聚磷酰氰胺脲具有极低的吸湿性,在室温、相对湿度为 95%的环境中放置30 天,吸湿率仅为 0.15%。 (2)加入 30%的阻燃抑烟剂聚磷酰氰胺脲,可使环氧树脂的极限氧指数由 21 提高至 53,提高幅度 150%,并且达到 UL-94 V-0 级。 (3)电镜照片显示,阻燃抑烟剂聚磷酰氰胺脲的加入可使环氧树脂烧蚀后的膨胀炭层由蜂窝状结构变为石墨片层状结构,因而具有优异的阻燃、抑 烟性能。 (4)隔热性能测试结果表明,纯环氧树脂酸酐固化物在酒精喷灯上烧蚀不到 4 min,其测孔内的温度已经达到 150 ℃,而且整个样品燃烧,无法继 续测试;阻燃抑烟环氧树脂在烧蚀 4 min 后,测孔内的温度仅为 51 ℃,烧蚀 20 min,测孔内的温度为 154 ℃。测试现象显示,阻燃抑烟环氧树脂灼烧20 min 后,形成的膨胀炭层高达 4 cm,且随着灼烧时间的延长膨胀炭层越来越厚,测孔内的温度上升的也越来越缓慢。 (5)烧蚀速率的测试结果表明,纯环氧树脂酸酐固化物的烧蚀速率为 0.86 mm/s,而阻燃抑烟环氧树脂酸酐固化物的烧蚀速率不到 0.08 mm/s。 (6)TG 和 DTG 的测试结果表明,阻燃抑烟环氧树脂的初始热分解温度虽然比纯环氧树脂提前了 56℃,但 500 ℃时的失重率却比纯环氧树脂减少 33.62%。 (7)阻燃抑烟剂聚磷酰氰胺脲的加入可大幅度降低环氧树脂的发烟量,使其红外光透过率由纯树脂的 35.8%提高至 90%以上,可见光透过率由纯树脂的 18.2%提高至 89.3%,激光透过率由纯树脂的 0提高至 80.2%。 参 考 文 献:(略) |













Leave a Reply
要发表评论,您必须先登录。