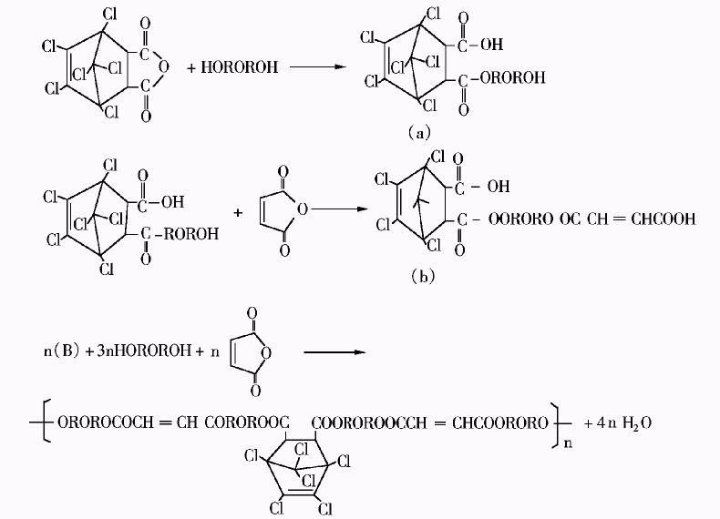
| 氯桥酸酐合成自熄性防腐聚酯树脂的研究 陈同明 嵇 鸣 (1.江苏安邦电化有限公司,江苏淮安 223002; 2.淮阴师范学院化学系,江苏淮安 223300) 摘要:研究了氯桥酸酐、顺丁烯二酸酐、乙二醇、二丙二醇和苯乙烯等为原料制备防腐阻燃不饱和聚酯树脂的工艺条件.结果表明,氯桥酸酐配比可达50%以上,反应温度160~180℃,反应时间20h,催化剂量为0 1%~0 25%.以过氧化苯甲酰为固化剂,于50~60℃固化45h,80~9℃固化20h,获得性能优良的树脂,当其氯含量大于20%时,具有较强的阻燃能力.该树脂在多种强腐蚀介质中相当稳定,特别适用于含湿氯气等强腐蚀性场所防腐. 关键词:不饱和聚酯树脂; 氯桥酸酐; 合成 中图分类号:TS102.65 文献标识码:A 文章编号:1671 6876(2007)01 0056 05 0 引言 在氯碱、造纸等工业生产中,存在着湿氯气、次氯酸、有机氯酸等强腐蚀性介质和一定的高温,会对设备产生严重腐蚀,如氯碱厂的氯气总管常因为湿氯气腐蚀而让厂家经常更换,不仅造成损失,而且带来安全隐患.国内现有的防腐措施都有某些不足,如糖瓷、内衬橡胶、内衬四氟乙烯等,一些企业在试用添加型的防腐阻燃乙烯基树脂,情况有所改进,但仍不理想,不少厂家不得不使用价格昂贵的钛管,也存在腐蚀.此时,国外常使用一种叫海特隆不饱和聚脂制品来进行防腐,取得良好效果. 海特隆不饱和聚脂(国外商品名:HET树脂)是一种以氯桥酸酐为原料制备的具有优良的防腐、阻燃性能和机械性能的树脂[2],是20世纪50年代美国虎克化学公司开发的专利产品,后来美国,日本,德国,英国,加拿大等国的多家公司先后开发多项相关专利技术.国外常用海特隆不饱和聚脂制造耐腐蚀,难燃的风管,排气罩,风机,管道,储槽和塔器,还用于制造特殊玻璃钢、油漆、粘接剂、腻子等.国内使用进口的氯桥酸酐生产的海特隆不饱和聚脂的玻璃钢管道,已在大庆氯碱厂等多家企业试用了八年以上,效果良好,但由于原料价格高等因素未能获得广泛应用.本文用氯桥酸酐为原料进一步试制了海特隆树脂,经测试该树脂性能良好. 1 实验部分 1 .1 仪器与药品 仪器:聚脂制备釜(威海化工容器有限公司),JH3 1型电动搅拌器(上海医药器械公司家),LFY 622燃烧试验仪(山东纺织科学研究院仪器所),CMAS腐蚀检测仪(柯美达科技有限公司). 药品:氯桥酸酐(聚酯级,江苏安邦电化有限公司);顺丁烯二酸酐(聚酯级,常州亚邦);乙二醇(聚酯级,扬子石化);二丙二醇(聚酯级,上海顺强科技公司);苯乙烯(聚酯级,南京杨子巴斯夫公司);对苯二酚(分析纯);过氧化苯甲酰(聚脂级). 1 2 合成原理 1 2 1 合成反应路线 
 
 交联固化反应:链上的双键与苯乙烯产生交联反应,形成网状结构的树脂. 1 .2 .2 树脂结构特征 特殊的分子结构决定树脂的优异性能.海特隆不饱和聚脂是由氯桥酸酐代替部分二元酸与二元醇或多元醇缩聚而成的,氯桥酸酐中含54%的稳定氯是树脂具有持久阻燃性,两个相连的五元环结构赋于树脂优良的耐热性,树脂分子中存在大量的甲基支链,造成酯链的空间位阻大,降低了酯键的水解性,提高了树脂的稳定性.具备空间结构的多环基团,扩大了空间效应;尤其是多环基团基本被Cl饱和,使得该基团上的一个双键在聚酯反应条件下都没有活性,可以看成是一个饱和的多环基团.再加上分子中的醚键,使氯桥酸酐树脂具备优良的抗化学性,即耐腐蚀性能.较长的直链容易制塑性大分子.直链上的双键是可以反复交联的活性基团,与苯乙烯固化后,生成分子量很大的空间网状结构,具备优良的机械性能.分子中存在的大量卤素,不仅增加了树脂的稳定性和耐腐蚀性,同时提高了树脂的阻燃性. 1 .3 合成实验 1 .3 .1 树脂合成 合成HET树脂配方及性能指标见表1、表2. 
 
 1 .3 .2 操作过程 1)装有搅拌器,回流冷凝器和温度计的聚酯釜中加入乙二醇,二丙二醇,催化剂,用氮气作为保护气,加热至一定温度后分批加氯桥酸酐和半份顺丁烯二酸酐,搅拌升温反应. 2)升温到145~150℃时进行反应2h,160~170℃反应8h,冷却至120℃再加入另一半顺丁烯二酸酐和季戊四醇,再升温至170~180℃反应6h,减压脱水,出水至测量酸值30以下,反应结束,加入对苯二酚. 3)降温至100~110℃,加入苯乙烯和紫外吸收剂,于85~90℃搅拌均匀,放料冷却,得成品树脂. 1 .3 .3 酸值测定 反应体系及产品酸值测定,按国家标准GB2895 87酸值测定法. 1 .3 .4 不饱和树脂的固化 固化时,加入过氧化苯甲酰1%,固化剂和促进剂适量,搅拌均匀后倒入模具中固化. 1 .3 .5 手糊成型法海特隆不饱和聚脂玻璃钢 玻璃钢制品铺层:1层玻璃纤维毡+(6~8层)短切毡和粗纱+1层粗面纱,厚4~5mm,玻璃钢含胶量65%~75%,阻燃协同剂为5%Sb2O3和适量填料,按一般手糊成型法海特隆不饱和聚脂玻璃钢在50~60℃固化65h,再在80~100℃固化20h,得自熄性玻璃钢. 2 结果与讨论 2 .1 反应时间对酸值的影响 酸值的大小反映了树脂中游离酸和分子终端的羟基数量,随着聚酯反应的进行,游离酸和终端羧基不断减少,酸值下降.反应进行得越完全,体系的酸值越小.图1给出了一组聚酯制备过程中体系酸值随反应时间的变化情况.在反应前半阶段,初期酸值较高,酯化速度较快,随着反应进行,酯化速度变慢,当酸值降至30以下时,基本完成前期酯化,前期酯化结果对树脂性能有重要影响. 
 2 .2 固化条件的选择 所合成的树脂在适当的温度下,选用不同的促进剂引发剂体系,不同浓度和配比进行实验,表明以过氧化苯甲酰作引发剂,环烷酸钴作为促进剂的体系,对树脂具有较好的固化效果,促进剂和引发剂的用量分别是树脂质量的2 3%~2 5%和1 5%~2 0%.在50~60℃固化45h,80~100℃固化20h,固化条件直接影响海特隆不饱和聚脂树脂的性能. 2 .3 催化剂用量 加入适量催化剂可以缩短酯化时间,但量过多会影响树酯性能.后酯化阶段也可以通过出水量来判断反应进程.选用催化剂M,并用不同的催化剂量进行对比实验,结果见表3.由表3可知,在相同的反应温度和反应时间下不加催化剂或催化剂量少,反应不好,产物分层.催化剂过多对反应也不利,适宜的催化剂量0 1%~0 25%. 
 2 .4 封端反应温度 在不同的封端反应温度下试验结果见表4. 
 由表4可知,160~175℃为适宜的反应温度,反应温度降低,反应活性下降,温度低于130℃时,反应不能顺利进行,反应温度过高也有害,实际当温度高于190℃时,产品聚酯色度深,副产物增多,树酯性能降低. 2 .5 树脂的性能 按上述方法合成的树脂,检测其性能为:浇铸体产品抗拉强度≥38ΜPα冲击强度≥4ΜPα,热变形温度≥120℃,手糊成型法海特隆不饱和聚脂玻纤增强玻璃钢产品的抗拉强度≥120ΜPα弯曲强度≥140ΜPα,热变形温度≥135℃,热煮24h吸水量<0 1%,可见此类树脂及其玻璃钢制品优越性能. 2 .6 协效剂对树脂阻燃性能的影响 氯桥酸酐代替二元酸合成的不饱和聚酯树脂,当氯含量大于30%时,不需要添加其它协同阻燃剂树脂就能自熄.低于30%时添加适当阻燃协效剂也能达到较好的阻燃效果,可使用的协效剂有多种,Sb2O3和含磷阻燃剂都是较好的协效剂.表5给出了含氯量25%海特隆不饱和聚脂,分别添加Sb2O3和甲基磷酸二甲酯(DMMP)的自熄时间和燃烧距离的测定结果. 
 加入量约5%Sb2O3或3%甲基磷酸二甲酯就能达到离火后很快自熄.当含氯量低于18%时,海特隆不饱和聚的阻燃性大大降低,此时添加其它协同阻燃剂改善效果有限. 2 .7 树脂的耐腐蚀效果 将制成的不饱和树脂进一步制成浇铸体,进行耐腐试验,部分结果见表6.可以看出,该树脂具有高度耐腐蚀性,尤其是对含湿氯气及其它含氯介质的场所,具有良好的耐腐蚀性. 
 3 结论 1)氯桥酸酐代替部份二元酸通过缩聚反应制备海特隆不饱和聚酯,缩聚温度在160~180℃为宜,缩聚时间20h,缩聚反应属本体聚合,添加溴苯乙酸丁酯可改善树脂色泽. 2)加入催化剂可缩短缩聚反应时间,但催化剂过多会影响树脂性能,适宜的催化剂量为0 1%~0 25%,制备的海特隆不饱和聚酯可以使用过氧化苯甲酰或其溶液为固化剂,辛酸钴为促进剂.促进剂和引发剂的用量分别是树脂质量的2 3%~2 5%和1 5%~2 0%.在50~60℃固化45h,再在80~100℃固化20h,也可不加促进剂. 3)海特隆不饱和聚酯分子结构独,树脂具有优良的机械性能,稳定性和耐化学腐蚀性.当氯含量大于30%时,树脂不但耐腐蚀,而且具有燃烧自熄性;当氯含量在20%~30%时可通过添加适当的协效剂来达到满意的阻燃效果,较好的协效剂有Sb2O3,甲基磷酸二甲酯,膦酸酯等;当氯含量低于当氯含量低于20%时即使添加协效剂阻燃能力也不强. 4)海特隆树脂制备方法简单,工艺过程稳定可靠,可用来制造耐腐,阻燃的玻璃钢产品.腐蚀实验中可以看出该树脂具有很强的耐湿氯场所的腐蚀能力,如湿氯气中100℃下300h,变化率仅0 67%,这是其它树脂无法达到的. 参考文献: [1] 周菊兴.不饱和聚酯树脂[M].北京:中国建筑出版社,1981. [2] 王玉堂.高性能热固性树脂在氯碱工业中的的应用[J].四川化工与腐蚀控制,2000,11(2):2932. [3] DorfmanA,EdwinCH,HindersinnJ,etal.Unsaturedpolyesterresinshavingimprovedfiredretardance[P].US:3992480,1980 3 25. [4] DorfmanA,EdwinCH,HindersinnJ,etal.Fireretardantunsaturatedpolyester[P].US:4195014,1980 6 6. [5] Matsumoto,Keizo.ArakawaChemicalIndustriesLtd[P].JP:98101751,1998 04 21. [6] 刘卫红,赵林,周兰芳,等.耐腐蚀不饱和聚酯树脂的品种及国内发展概况[J].热固性树脂,2004,19(6):2830. | 











Leave a Reply
要发表评论,您必须先登录。