柴玉葉,鄒祥龍,蘭云軍(溫州大學浙江省皮革工程重點實驗室,溫州325027)第一作者簡介:柴玉葉(1974 ),男,漢族,講師,從事皮革化學品和制革工藝方面的研究。

摘要:環氧氯丙烷是一种重要的有机合成中間体,在有机精細化學品的合成中有重要的作用,本文重點介紹了環氧氯丙烷在皮革化學品合成中的應用,尤其是在皮革加脂劑、染色助劑和合成鞣劑合成中的應用。

關鍵詞:環氧氯丙烷;皮革化學品;合成

1 前言

環氧氯丙烷(ECH)是一种揮發的、不穩定的無色油狀液体,有類似氯仿的气味,有毒,与多數有机溶劑混溶,微溶于水,密度1 18066g/cm3,沸點116 .11℃。

環氧氯丙烷是一种重要的有机合成中間体,以它為原料制得的環氧樹脂在涂料、膠黏劑和電子層壓材料等領域被廣泛應用。環氧氯丙烷還可用于生產合成甘油、硝化甘油炸藥、玻璃鋼、電絕緣品、表面活性劑、醫藥、農藥、涂料、离子交換樹脂、增塑劑、氯醇橡膠等。這些精細化工產品廣泛應用于化工、輕工、交通運輸、醫藥、涂料、食品、電子電器等行業[1]。目前,我國環氧氯丙烷的消費比例為:環氧樹脂占85%,合成甘油占7%,氯醇橡膠占2%,其它(包括溶劑、穩定劑、表面活性劑、阻燃劑、油田化學品、水處理劑等)占6%。

環氧氯丙烷分子上含有一個環氧鍵和一個C Cl鍵,均具有很強的反應活性,因此是一种雙官能團化合物。其中環氧鍵容易与含活潑氫有机化合物,如脂肪胺、脂肪醇和脂肪酸等發生加成反應,也易和含質子的無机鹽,如亞硫酸氫鈉、磷酸一氫鈉和磷酸二氫鈉等發生加成反應,是一种常用的烷基化試劑,而氯烷也是一种常用的烷基化試劑,容易与含活潑氫的有机化合物,如脂肪胺和脂肪醇等,以及無机鹽,如亞硫酸鹽,發生取代反應[2]。另外,環氧氯丙烷還容易自聚或与多元胺發生聚合反應。環氧氯丙烷的這种特殊結构,以及較高的反應活性,使之在包括皮革化學品在內的各种精細有机化學品的合成中有廣泛的應用。

皮革化學品是一种有著鮮明特色的精細化學品,比如較強的專用性,利潤相對較高,產品更新快等,所以多年來像BASF、Bayer和Rohm&Haas等國際化學工業巨頭,在皮革化學品研究開發方面投入了不少人力、物力和財力。皮革化學品合成的原材料來源非常廣泛,有机的、無机的、天然的、合成的等,在皮革化學品的新產品研究開發中,其中很重要的一個方向就是擴展原材料的來源范圍,嘗試新的、更多的适合用于皮革化學品合成的新方法。尤其在复鞣劑、加脂劑和涂飾劑的制備中,研究者為了滿足皮革產品對皮革化工材料的新要求,通常要在產品的開發中引入新的原料和新的合成方法。本論文重點介紹了環氧氯丙烷在皮革加脂劑、染色助劑和复鞣劑等皮革化學品合成中的應用。

2  環氧氯丙烷在皮革化學品合成中的應用

2 1 將環氧氯丙烷用于加脂劑的制備

加脂劑是制革過程中用量最大的一類化學品,其有效物成分包括中性油和活性物,而活性物本質上是一种表面活性劑,因此加脂劑的制備過程實際上也就是表面活性劑的合成。本文主要介紹環氧氯丙烷在陽离子皮革加脂劑和兩性皮革加脂劑合成中的應用。

2 1 1 將環氧氯丙烷用于陽离子皮革加脂劑的制備

陽离子加脂劑是一類具有獨特性能的加脂劑,雖然它的品种、用量以及在制革生產中的重要性都遠不如同為加脂材料的陰离子產品,但它在成革表面的油潤性、手感、固色、絲光感和減少廢液的污染以及其它物理机械性能等方面的獨特作用,使其成為制備高檔革不可缺少的材料。近年來,陽离子加脂劑在制革生產中的用量和使用范圍正在不斷地增加和擴大,在開發和研究陰离子加脂劑的同時,研究人員也重視對陽离子加脂劑的開發和研制[3]。

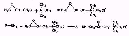
以環氧氯丙烷為原料制備陽离子皮革加脂劑,主要分兩步,首先環氧氯丙烷与三甲胺反應得到3-氯-2-羥丙基氯化銨,然后再与長鏈脂肪胺反應得到目的產物,示意性反應式如下:

2 1 2將環氧氯丙烷用于兩性皮革加脂劑的制備

兩性离子型皮革加脂劑結构獨特,性能优异,屬于加脂劑中的高檔產品。國內關于兩性皮革加脂劑的研究報道較多[4~6],但用于皮革生產的兩性加脂劑產品則較少。兩性皮革加脂劑与常用的陽离子和陰离子型皮革加脂劑相比具有如下特點:1)配伍性好,可以和陰离子或陽离子皮革化工材料同浴使用;2)耐酸鹼鹽和電解質能力強,可以用于皮革的預加脂,也可用于皮革的主加脂工序;3)兩性加脂劑用于皮革加脂,可以增強加脂革的正電性,有助于酸性染料的吸收,增強皮革表面油感等。環氧氯丙烷用于兩性皮革加脂劑的制備,其主要功能在于在長鏈脂肪胺上引入陰离子基團磺酸根或磷酸根等。因此其制備過程主要分兩步,首先是環氧氯丙烷与亞硫酸氫鈉或磷酸二氫鈉反應得到3 氯 2 羥丙基磺酸鈉或3 氯 2 羥丙基磷酸酯鹽,然后再与長鏈脂肪胺反應得到兩性表面活性劑,通過与其他中性油脂的乳化复配就可以得到兩性皮革加脂劑[7~8]。磺酸鹽型兩性皮革加脂劑的合成示意性反應式如下:

2 2環氧氯丙烷用于染色助劑的制備

染色是制革過程中的一道重要工序,通過添加一定的染色助劑可以使皮革染色均勻,提高染料上染率和色牢度。皮革染色時所使用的助劑主要有勻染劑和固色劑,而皮革染色主要使用酸性染料,因此常用的固色劑大都為陽离子化合物。在陽离子染色助劑中,含氮化合物及其衍生物占有重要的位置,國外有關的報道較多。日本專利介紹了[9]將二乙三胺、聚氧乙烯衍生物、甲醛、乙醇胺等一起反應所制得的聚合物用于尼龍染色,不僅可以溶解染料還可以提高顏色的飽滿度和均勻性。根据Wittt提出的“發色團和助色團理論”[10], -NR2、-NHR和-NH2均為助色基團,因此,含氨基的固色劑或勻染劑,不僅可以起到固色和勻染的0作1用2,3還4可提高顏色的深度和飽滿度。蘭云軍等人[11]以多元胺和環氧氯丙烷進行聚合制備了陽离子固色劑DA,其制備工藝如下:

將DA用于皮革固色,可以節約染料20%,提高顏色的深度,同時還使色光偏紅,達到增艷的效果。近几年關于氨基酸型兩性表面活性劑用于皮革染色的報道較多[12~13]。在皮革染色前期,浴液pH值較高,染料主要以滲透為主,染色后期pH較低,以固色為主。利用氨基酸型兩性表面活性劑在等電點之上帶負電,等電點之下帶正電的特點,將其用于皮革染色,在染色初期兩性表面活性劑帶負電,与酸性染料具有較好的相容性,可以提高染料的分散性,在染色時起到勻染的作用,而在較低pH下,兩性表面活性劑呈正電性,可以与酸性染料結合成水不溶物,沉積在皮革纖維表面,達到固色的目的,提高了染料的上染率。另外,氨基還會与染料作用,使顏色加深,因此該類表面活性劑用于皮革染色可以起到勻染、增深和固色等多層功能。以環氧氯丙烷為原料之一制備該類表面活性劑,首先是環氧氯丙烷与亞硫酸氫鈉反應得到氯羥丙基磺酸鈉,然后再与長鏈脂肪胺反應得到目標產物,示意性反應式如下:

2 3  將環氧氯丙烷用于皮革复鞣劑的制備

氨基樹脂鞣劑對皮革具有良好的复鞣和填充能力,又因其分子中氨基与亞胺基在染色介質中能表現出陽离子性,因而具有一定的助染能力。三聚氰胺樹脂复鞣劑是氨基樹脂复鞣劑中的一种,用其鞣制的革色白、丰滿、緊實、耐光[14],但其存在貯存穩定性差,當其進入皮革內后,在較長時間內會緩慢釋放一定的甲醛,使皮革粒面發脆[15]。針對三聚氰胺存在的問題,蘭云軍等人[16]報道了一种改性三聚氰胺复鞣劑的制備方法,該复鞣劑的制備過程如下:

1)環氧氯丙烷与亞硫酸氫鈉反應得到3-氯-2-羥丙基磺酸鈉,示意性反應式如下:

該樹脂由于結构上有環氧基和羥基,反應活性大,能与膠原纖維上的有机官能團反應,其醇羥基還能与鉻、鋁、鋯和鈦等多价金屬生成配位鍵,所以該樹脂現已用作鉻鞣和鋯鞣的預鞣劑,也可單獨用于毛皮鞣制[17]。

2 4  環氧氯丙烷在其他皮革化學品合成中的應用

環氧氯丙烷除用于上述几類皮革化學品的合成,在其他皮革化學品的合成中也有應用。趙燕等人[18]將環氧氯丙烷和尿素反應制得了一种皮革廢水處理劑的中間体。高寶玉等人[19]以環氧氯丙烷和二甲胺為原料,乙二胺為交聯劑,制備了一种新型絮凝劑,可用于制革廢水處理。張學強等人[20]以十八胺和環氧氯丙烷為主要原料合成了一种皮革柔軟劑。另外環氧氯丙烷還可用于反應型皮革加脂劑和涂飾劑的制備。

3  結束語

綜上所述,環氧氯丙烷是一种具有特殊結构,化學性質活潑的有机合成中間体,可用于多种皮革化學品的制備。今后應加強對環氧氯丙烷及其衍生物的性能研究,擴大其應用范圍,以開發出更多性能优异的皮革化工產品。

參考文獻:

[1]王 軍,楊 鴻,張孟瑤.環氧氯丙烷下游產品生產現狀及市場前景[J].氯鹼工業,2004,(2):29-31.

[2]唐培坊.精細有机合成化學及工藝學[M].天津:天津大學出版社,1993:220-240.

[3]劉 力,邵雙喜.陽离子加脂劑的制備及應用[J].中國皮革,2001,30(11):13-15.

[4]蘭云軍,銀德海,陳 桓,等.ASF M兩性合成加脂劑的制備原理及其應用性能[J].中國皮革,2000,29(1):23-25.

[5]呂生華,俞從正,孫根行.兩性皮革加脂劑的合成及性能研究[J].中國皮革,2003,32(13):1-3.

[6]趙永麗,崔元臣.一种新型兩性皮革加脂劑的合成及性能研究[J].中國皮革,2004,33(21):32-35.

[7]何元君.甜菜鹼兩性表面活性劑的合成及應用[J].日用化學業,1996,3:29-32.

[8]方 云.兩性表面活性劑及其在纖維工業中的應用[J].四川日化,1996,(4):44-46.

[9]Herumuuto,Hansuugenorukukurits.Aidsfordissolov ingdyesandprintingcompositionscontainingthemforimprovedlevelingandcoloryield[P].JP0649775,22Feb,1994.

[10]陳孔常,田禾.高等精細化學品化學[M].北京:中國輕工業出版社,1999,1.87-89.

[11]蘭云軍,陳瑩,黃秀娟.DA系列染色助劑的合成研究[J].中國皮革,2002,31(21):25-28.

[12]蘭云軍,谷雪賢,銀德海,等.內添加型勻染增艷劑的合成与應用[J].西部皮革,2005,6:29-32.

[13]蘭云軍,鮑利紅.一种新型皮革染色艷劑的助染性能研究[J].西部皮革,2005,4:25-29.

[14]蘭云軍.皮革化學品的制備—理論与實踐[M].北京:中國輕工業出版社,2001.

[15]李廣平.皮革化工材料与應用原理[M].北京:中國輕工業出社,1997:59-86.

[16]蘭云軍,龐曉燕,羅衛平,等.改性三聚氰胺樹脂复鞣填充劑的合成[C].2005全國皮革化學品學術交流會論文集,138-142.

[17]周華龍.皮革化工材料[M].北京:中國輕工業出版社,2000.51.

[18]趙燕,付麗紅,孫鋼.中間体3 氯 2 羥丙基 的合成[J].2005全國皮革化學品學術交流會論文集:121-125.

[19]高寶玉,張華,岳欽艷,等.新型絮凝劑聚環氧氯丙烷胺的合成研究[J].環境化學,2005,24(4):446-448.

[20]張學強,王云.皮革柔軟劑合成工藝及應用[J].皮革化工,1997,17(1):26-27.