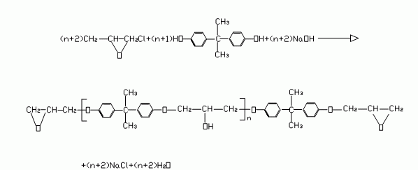
| 刘守贵 (中昊晨光化工研究院 四川 自贡 643201) 摘要:本文简要论述了液体双酚A型环氧树脂的生产工艺的改进,介绍了提高液体环氧树脂产品质量的的种种方法,并提出了环氧树脂清洁化生产的途径。 关键词: 环氧树脂 双酚A 合成工艺 环氧树脂是指分子结构中含有两个或两个以上环氧基团的一类分子化合物的总称。树脂固化物表现出优异的机械性能、绝缘性能、耐腐蚀性能、粘接性能和低收缩性能,广泛应用于涂料、浇注、封装、层压、粘接、防腐等领域。环氧树脂种类繁多,但用量最大,用途最广的最具代表性的树脂是双酚A型环氧树脂[ 1]。随着高科技工业的发展,对工程材料提出了更高的要求,例如输出变电压的高压化、电子电气产品、机电产品在苛刻环境下的长周期稳定运行,超导发电和核能发电的安全屏蔽要求、电子元器件,集成电路的高度集成,高密度化,向“轻、薄、短、小”方向发展等,对适用的环氧树脂的品质如纯度、色度、环氧当量波动范围、氯含量、批次稳定性等提出了更苛刻的要求。目前国内通用双酚A型环氧树脂普遍存在分子量分布不均,色度偏深,氯含量尤其是易皂化氯含量偏高的缺陷,使用领域受到限制。例如国标E-51的环氧当量为189~208 g / eq,而国外的波动范围ΔEEW≤5 g / eq,产品系列化,精细化,无色化、专用化。另外,产品单耗偏高,生产装置工艺技术水平参差不齐。国内环氧树脂总产能接近40万t/a,无法满足某些高新尖端领域的高品质要求,尚需依赖进口,2005年全国消耗环氧树脂近35万吨,进口20多万吨,相当部分为电子级环氧树脂就是明证。国外环氧树脂已发展到高纯级,超高纯级水平,已有总氯含量≤100ppm的产品面市。 如何完善环氧树脂生产工艺,提高装置技术水平,提高产品质量档次,增加市场竞争力是目前环氧树脂生产行业面临的一道严峻的课题,因此对高品质的高纯度低粘度的液体双酚A型环氧树脂的生产合成工艺作进一步的探讨仍具有十分重要的现实意义。 一 液体双酚A型环氧树脂合成工艺的演变 双酚A型环氧树脂的反应方程式: ![]() 液体双酚A型环氧树脂的平均聚合度n=0~1.8,牌号包括E-54、E-51、E-44、E-42、E-39-D等。合成工艺包括一步法和二步法[ 2 ]。一步法按合成工艺可分为一次加碱法和二次加碱法,此两种合成方法按生产工艺又可分为釜式间歇法,半连续法,和塔式连续法三种。一步法工艺是把双酚A和环氧氯丙烷直接在NaOH作用下进行缩聚,开环和闭环反应同步进行,经后处理得到树脂。国外公司一般采用大容积反应釜(25000L以上)前期间歇反应,过量环氧氯丙烷回收及后处理过程(溶解,水洗,回流,脱溶剂)在薄膜蒸发器上连续完成,称为半连续法。真正的连续化法是将双酚A和环氧氯丙烷在预混器中溶解均匀,连续进入配有中心搅拌装置、换热装置和物料喷淋分配装置的细长的塔式反应器,液碱自上而下分多级进入反应器,物料在细长的反应塔内充分混合均匀反应,反应生成的环氧树脂中间产物自塔底排出,进入收集槽采用泵输送至倾析分液器静置分层,排出无机相,有机相经薄膜蒸发器脱除过量的环氧氯丙烷,物料送入溶解釜加入溶剂溶解,再泵送入二级塔式反应器进一步闭环反应,产物经反应塔底部排出,进入倾析分液器多次水洗,分离下层水和盐脚层,树脂溶液经薄膜蒸发器脱除溶剂得到高纯的环氧树脂。 比较上述三种方法,从产品质量角度来看均能得到高品质树脂,但受反应原料在反应器内停留时间的影响,采用塔式连续法生产得到的产品可水解氯含量偏高,间歇法存在批次差别,产品质量波动性大;从生产工艺角度来看,间歇法最简单,易于实现工业化生产,大容积反应釜通过特殊的内盘管结构或者外套管结构解决传热问题,采用特殊结构的搅拌型式和变频调速可以做到物料在不同粘度状态下均能实现轴向和径向的充分湍流,很好地满足了反应传质要求;连续化法具有反应均衡稳定易于控制,产品质量较高,产品色泽浅,反应物料停留时间短,反应周期短,物耗低,能耗低的特点,但存在自控系统相当复杂,实现工业化难度大之不足。事实上,目前世界上除极少数厂家采用连续化法生产外,其余绝大多数均采用间歇法生产,处于世界先进水平的日本公司尤其如此,采用专门的超大型的成品混合槽进行混料解决批次差别问题,使供应市场的产品单批达到几十甚至上百吨。我国环氧树脂企业均采用间歇法生产工艺,以下论及均为间歇法。 为了满足某些特殊领域如军工要求,晨光化工研究院[ 3]曾经采用一步法直接分次加固碱实验室制备高纯度无色化环氧树脂CGY-331的合成工艺。得到的产品粘度低,环氧当量低,产品色度为0.5#,主要用于光学胶,但放大之后效果差。 我国于1958年最早开始由无锡树脂厂,上海树脂厂实现双酚A型环氧树脂的工业化生产,直到60年代末,一直采用一次加碱法生产。具体的流程框图为: ![]() 本生产工艺建立的基础为过去旧的环氧树脂合成机理(由Lee and Neville, Wismer等推导而来,关于环氧树脂的合成机理及反应历程有几种不同的解释,本文不作探讨,可参阅相关文献[4,5,6 ])。该机理认为环氧氯丙烷即便在反应后期仍然参与扩链反应,并且认为环氧树脂的聚合度至少为1,直接体现在生产工艺上加入的总碱量大大多于加入的双酚A的酚羟基当量,约为3~4倍,加入的环氧氯丙烷大大过量,以生产E-51为例,与双酚A的当量比例为15~20:1,反应末期才开始回收环氧氯丙烷,只能回收到约数十公斤的环氧氯丙烷。实际上大量的碱被消耗于环氧氯丙烷的水解反应。典型缺陷为生产周期偏长,反应终点难于判断,原料环氧氯丙烷,碱的消耗高。据当时的资料报道,以E-51为例,环氧氯丙烷消耗高达1200~1500kg/t以上。 70年代初开始,无锡树脂厂[ 7 ]认识到该生产工艺的不足,通过大量的分析研究和试验,验证了两个重要的事实:①环氧氯丙烷在反应后期是不起作用的;②低分子量液态环氧树脂为不同聚合度的环氧树脂混合物,但聚合度n=0的树脂占主体,如E-51约占80%以上。在此基础上,提出了新的环氧树脂合成机理,较详细计算了双酚A和环氧氯丙烷的原料配比及过量的数量,一二次碱的用量及分配比例,正式提出了二次加碱的概念,即将总碱量按比例分成二次在反应不同的阶段加入,并阐明了一、二次碱的不同的作用。确定了在一次碱加完后即开始回收过量的环氧氯丙烷,再加入二次碱进行进一步的闭环反应的生产工艺。生产实践证明基本与计算相吻合,环氧氯丙烷回收利用率达97%以上。现在全国各环氧树脂生产厂家采用的二步加碱法即来源于此。 与一次加碱生产工艺相比,二次加碱工艺具有如下特点:树脂收率及质量显著提高;生产周期有所缩短;在环氧氯丙烷的用量有所减少的基础上,环氧氯丙烷的回收量反而大大增加;液碱用量大大减少,仅为酚羟基当量的1.05~1.1倍,直接体现为各种原材料单耗大幅度降低。应该讲,二次加碱法是一次加碱法在环氧树脂生产工艺上的质的飞跃。 具体的流程框图为: ![]() 该机理真实地解释直接加碱生产环氧树脂过程中的种种现象,但不能解释二步法(催化开环醚化加碱闭环)生产工艺中环氧氯丙烷用量大大减少(约少3倍以上仅为酚羟基当量的3~4倍),仍能制得到高环氧值,低粘度环氧树脂的现象。 目前国内大多数环氧树脂生产企业的生产工艺和装置一直沿用二次加碱法工艺。采用二次加碱法工艺生产低分子量的液态环氧树脂仍存在明显的缺陷和不足,如原料环氧氯丙烷用量大,增大回收负荷,实际单耗远高于理论消耗;得到的产品环氧当量,粘度,易皂化氯含量偏高。人们开始探索新的环氧树脂生产工艺,二步法应时而生。 二步法工艺是将双酚A和环氧氯丙烷在相转移催化剂(季铵盐如四甲基氯化铵、四乙基氯化铵、苄基三甲基氯化铵、苄基三乙基氯化铵,胆碱及其卤代盐,季磷盐及其衍生物,冠醚,聚乙二醇PEG400等)作用下,首先通过加成反应生成二酚基丙烷氯醇醚中间体,接着在碱金属氢氧化物如NaOH存在下进行闭环反应,生成环氧树脂。于浩[ 8,9 ]等对此反应机理及催化剂的选择,醚化产物组成,反应动力学等作了较详细的研究。指出醚化反应为二级反应,闭环反应为一级反应,这些研究数据对二步法合成和生产液体环氧树脂具有一定的参考价值。二步法的优点是:将开环和闭环反应分开进行,减弱了加碱开环反应的放热峰值,操作稳定,缩短了反应周期,产品质量得到提高,粘度较低,树脂收率高。采用的相转移催化剂应具有高选择性,醚化反应必须充分,否则得到的环氧树脂易皂化氯含量偏高;通常采用的季铵盐相转移催化剂为表面活性剂,具有乳化副作用,水洗分离困难,加热过程中易分解为叔胺,缩短树脂使用时的胶化时间,产品存在异味。过量的环氧氯丙烷在碱性条件下仍会水解损失。 巴陵石化环氧树脂厂张晖[10]等选择合适的助剂(相转移催化剂)进行双酚A与环氧氯丙烷的醚化反应,反应完全后回收过量的环氧氯丙烷,然后加入甲苯溶解,再加入液碱进行闭环反应,经水洗,脱溶剂等后处理工艺,得到的树脂环氧值为0.550~0.560eq/100g,粘度为3000~5000mpas(25℃),环氧氯丙烷单耗为550kg/t产品。该合成工艺(下称改进(一))新颖之处在于加碱前回收过量的环氧氯丙烷,醚化产物粘度低,组分单一,可以短时间内完成回收,并得到不含其它组分的高纯度的环氧氯丙烷,避免了环氧氯丙烷的水解损失。不同于传统的生产工艺,回收时体系粘度极大,组分多,分离困难,该法局限于试验室合成水平,尚需经工业化试验其可行性。 邢殿香[11]等为降低原料单耗,探索了新的合成工艺,即采用1mol双酚A与2molNaOH的甲醇溶液在N2保护下反应一段时间后,减压蒸出甲醇,得到白色的双酚A钠盐,再与环氧氯丙烷按1:10的比例溶解,加入相转移催化剂苄基三乙基氯化铵(TEBAC),70℃反应5.0小时,冷却,水洗,分液除盐,负压回收过量的环氧氯丙烷,得到粗品环氧树脂。进一步加苯溶解,水洗,回流,脱溶剂得到成品树脂。由该法(下称改进(二))得到的产品环氧值0.502~0.539eq/100g,但单耗尚显偏高。 七十年代中后期还发展了常压共沸回流直接加碱合成工艺[2]。但存在如下问题:常压下蒸馏效率低,水和环氧氯丙烷的共沸温度高,达到88.5℃以上,加剧了环氧氯丙烷的水解反应;反应后期采用环氧氯丙烷为溶剂,树脂溶液密度比盐水大,盐水浮于树脂溶液之上,水洗操作难度大,环氧氯丙烷的损耗大。该生产工艺被放弃。通过几十年的发展,人们对环氧树脂的反应历程的认识也更加清晰,发现抑制环氧氯丙烷的水解副反应才能降低环氧氯丙烷单耗。为了达到克服环氧氯丙烷的水解反应的发生这一目的,反应体系必须保持水含量于一较低的水平如小于2%,PH值为8~10,于是对常压共沸回流加碱工艺进行补充和完善,发展成为目前国内外环氧树脂生产企业广为采用的真空负压回流加碱工艺。 真空负压回流加碱工艺即直接将双酚A与环氧氯丙烷溶解,控制体系一定的真空度,逐渐滴加液碱,反应生成的水和过量的环氧氯丙烷通过蒸馏冷凝成液体分层,环氧氯丙烷回到体系中,水离开体系,反应完成,回收过量的环氧氯丙烷,再加入液碱进行精制反应,经后处理得到双酚A型环氧树脂。 真空负压回流加碱工艺要求采用完善的自动化控制手段严格在线检测PH值及水分含量。较普遍的看法为反应体系的水含量应小于2%,PH值应控制在8.5~10之间,这两项控制指标看似简单,实际生产中控制起来有相当的难度,如果控制不当,体系的实际水含量和PH值偏高,造成产品环氧当量和易皂化氯含量偏高,高温强碱性条件下环氧氯丙烷易水解损失,造成单耗偏高。因此反应液碱滴加过程中需采用种种巧妙的方法和改进的特殊的设备对影响反应系统的因素(温度,压力,回流速度,液碱滴加速度,体系水含量,PH值等)加以控制,冷凝器换热面积足够,充分保证冷凝效果,分水接受器采用特殊结构形式,确保蒸馏出的环氧氯丙烷-水能自动分层,不会产生乳化现象,造成体系蒸馏出的水又随环氧氯丙烷乳化层回到体系中去,影响反应效果及产品质量; 典型生产工艺:将双酚A和环氧氯丙烷按1:3~4(重量比)的比例加入反应釜中,升温至50~80℃溶解,控制釜内真空度为0.075~0.085MPa,温度60~70℃,于3~5h滴加完液碱(≥48.5%),维持回流反应3~8h。回收过量的环氧氯丙烷,加入溶剂溶解,再加入10~20%的液碱进行精制反应,通过水洗,回流,脱溶剂等一系列后处理工序得到环氧当量为195g / eq的成品树脂。 在真空负压加碱合成工艺的基础上进一步延伸和完善,提出了环氧树脂生产的三段反应工艺(三段加碱法),即首先加入约为酚羟基当量0.08~0.1的液碱(1)作为催化剂进行预反应,相当于醚化反应,国外公司最早采用季铵盐作催化剂,后来采用液碱(15~30%)进行开环醚化反应。再加入液碱(2)(≥48.5%)于负压条件下进行回流反应,回收过量的环氧氯丙烷,加入溶剂溶解,最后加入低浓度的液碱(3)进行精制反应等三个阶段,最后经后处理得到环氧树脂,目前国内几大环氧树脂企业均采用该法进行生产。 典型生产实例 将双酚A和环氧氯丙烷按1:3~5(重量比)的比例加入反应釜中,升温至50~80℃溶解,控制釜内温度为温度60~70℃,分几次加入约为酚羟基当量0.08~0.1的液碱(1),常压反应4~6h ,控制釜内真空度为0.075~0.085MPa, 温度60~70℃ ,于3~5h滴加完约为酚羟基当量0. 8~0.9的液碱(2)(≥48.5%),维持回流反应3~6h。回收过量的环氧氯丙烷,加入溶剂溶解,再加入约为酚羟基当量0.08~0.1的液碱(3)(10~20%)进行精制反应,通过水洗,回流脱溶剂等一系列后处理工序得到成品树脂。 采用上述几种方法生产液体环氧树脂E-51的环氧氯丙烷单耗及产品质量比较,见下表。 ![]() 对于国内特有牌号E-44,E-42,E-39-D的环氧树脂还可以采用两步法生产。合成方法为首先制备环氧当量低的液态基础树脂如E-54、E-51等,然后在催化剂作用下与双酚A进行扩链加成反应得到。国外公司已经有预加有催化剂的低分子液体环氧树脂,专门用于生产相对分子量高的环氧树脂。催化剂为高选择性的三苯基磷之类的衍生物。 二 提高液体双酚A型环氧树脂产品质量的途径 只有了解影响树脂质量的主要因素,才能找到制造高品质的环氧树脂的方法。双酚A型环氧树脂属于不同聚合度的同系物分子的混合物。平均相对分子质量的大小及相对分子质量分布的宽窄直接影响树脂的环氧基含量、羟基含量、树脂的粘度、软化点及溶解性等性能,并对固化工艺、固化物的性能以及树脂的应用领域等都有很大的影响,此外树脂的氯含量,杂质含量等指标也直接影响环氧树脂性能。如何制备相对分子质量分布窄,高纯度,低粘度,高环氧值的环氧树脂,归根到底需落实到环氧树脂生产的“人,机,料,法,环境”上来。 (1) 控制好原材料质量,降低产品色泽 在一些特定用途如无色浇注,光学环氧胶对环氧树脂的色泽提出了更严格的要求,某种意义上环氧树脂色泽体现了产品纯度。环氧树脂的浅色甚至无色化尤其重要。梁平辉[12,13]对环氧树脂颜色的形成及解决办法进行了详细的阐述,着重提出生产环氧树脂的原料与其色泽的深浅密切相关,必须控制好原材料质量,下表为国外公司对原料的技术要求。 ![]() (2) 提高装置的自控和中间控制水平,避免人工操作引起产品质量波动。 刘广宇[ 14 ]等采用高效液相色谱(HPLC)分析液体环氧树脂的组成,分子量分布,得到液体环氧树脂聚合度n=0的成分为80.5%,为生产工序提供准确投料比例,为产品精制工序精确计算液碱用量,有效控制了产品质量。 (3)完善环氧树脂的制造技术;采用新技术,新设备 环氧树脂生产工艺技术软件不能墨守成规,不能仅仅立足于改进现阶段的二次常压加碱法,要消化,吸收,创新国内外的先进技术,因地制宜在生产工艺环节上下工夫,形成自己的专有技术特色。真空负压回流分水加碱工艺是提高环氧树脂品质的必由之路。例如原料配比,催化剂选择,工控参数,溶剂选择,高纯氮气保护技术等。岳阳巴陵石化环氧树脂厂[ 15 ]在环氧树脂反应体系中加入还原剂(锌粉),采用惰性其气体N2保护,避免体系被氧化就是一个很好的技术诀窍。 环氧树脂生产硬件上不能抱残守缺,应根据国内外的先进的生产工艺和一些技术诀窍加以改造,采用新技术,新设备。例如电子称计量技术;螺旋输送器给投料技术;薄膜蒸发器回收环氧氯丙烷,脱溶剂技术;环氧氯丙烷自动相分离回收技术;精密过滤技术;固体成品树脂自动造粒包装计量技术等。 (4)完善工艺细节,降低环氧氯丙烷的单耗 环氧氯丙烷单耗的高低直接确定了环氧树脂产品原材料成本。日本东都化成公司的单耗为550kg/t,与理论单耗只差30kg左右,除从生产工艺上保证体系水含量≤1%,克服环氧氯丙烷的水解消耗外,相当重视其它环节的环氧氯丙烷的回收利用。过去采用釜式蒸馏加水共沸回收过量的环氧氯丙烷,时间长,水解损失大,每生产1吨环氧树脂约产生0.3~0.5吨回收废水,我们知道环氧氯丙烷在水中的溶解度(20℃)为4.5~6 %,如不加以回收利用,损失巨大,同时造成环氧氯丙烷单耗增高。目前国外公司已不再采用加水共沸的方式,而是加入芳烃类入甲苯,二甲苯等,醇类,如正丁醇,异丙醇等。酮类,如甲基异丁基酮等共沸,用旋转薄膜蒸发器脱除,最后采取萃取、精馏装置进行精馏分离回收利用。 (5)抑制副反应,减少异质端基含量[ 16,17 ] 环氧树脂成品中的氯通常以二种形式存在,即有机氯和无机氯。无机氯为去除不完全而残留的盐,以晶体盐形式存在。有机氯包括活泼氯和结合氯(bound-Cl),环氧氯丙烷与双酚A聚合而形成的环氧树脂分子的端基并不完全是环氧基团,还含有异质端基,见下图a,b,c 。a是由于环氧树脂合成过程中正常加成的环氧氯丙烷因脱HCl的闭环反应不完全而形成的,以1,2—氯化羟基形式存在于树脂中,极易水解,故称为可水解氯或易皂化氯。b是环氧氯丙烷异位(β位)加成的副反应所形成的,以1,3—氯羟基存在。活性低,不易水解生成Cl—,为结合氯、非活性氯。c是1,2一氯化醇的羟基或相应的烷氧基离子与环氧氯丙烷反应而形成的l—氯—2—缩水甘油醚基。前述三者统称为有机氯。 ![]() 树脂中有机氯的存在,对树脂的固化行为极固化性能均有极大的影响。树脂在使用过程中因微量水分,湿气的存在,可水解氯水解生成HCl,腐蚀集成电路的微细导线,使可靠性降低。 ![]() 树脂易皂化氯含量偏高易与胺类固化剂形成络合物,延长胶化时间,降低反应活性,树脂固化物抗冲击性下降。若作为二步法(advancement)合成中,高分子量固体环氧树脂的原料,易皂化氯含量偏高,极易使树脂支链化,甚至引起交联结锅的可能。 为了有效避免产生上述β异位加成反应,必须控制醚化加成反应初期的放热峰值,选择适当的低温反应;采用真空负压回流加碱工艺时应尽量使用高浓度48.5%以上的液碱;采用惰性偶极溶剂抑制部分副反应的发生;将二步法中的相转移催化剂与真空负压回流加碱工艺相结合,可以制得总氯含量极低的环氧树脂。对于易水解氯a及结合氯b的降低方法,国内外已有大量专利和文章报道[ 18,19,20 ],问题的关键是如何借鉴专利介绍方法,解决工程放大上的技术诀窍。 (6)完善脱溶剂工艺 成品树脂中可能残留微量杂质,如水、有机溶剂、NaCl、游离酚、环氧氯丙烷高沸物及其它机械杂质等。这些杂质同样会影响环氧树脂的电性能、色泽、贮存性能及固化物的性能。传统的釜式蒸馏脱溶剂方式易使成品树脂残留的溶剂(挥发份)含量偏高,长周期的高温停留加深成品色泽。采用薄膜蒸发器脱除溶剂[ 21 ]可以确保环氧树脂在高温下极短的停留时间,溶剂脱除效率高,易于控制成品树脂残留的溶剂(挥发份),可以实现连续化后处理,提高生产效率。 三 液体环氧树脂的清洁化生产 高品质的环氧树脂除产品本身高纯外,应包含绿色环境的概念。环氧树脂生产必须加强“三废”治理,实现清洁无害化生产和零排放,作到与环境友好和谐,才能可持续发展。 (1)完善水洗工艺,加强老化树脂的回收利用 液体环氧树脂的生产过程采用有机溶剂溶解萃取,生产后处理通过水洗除去副产盐氯化钠及其它杂质。一方面生产过程中会产生一些溶剂难溶的环氧树脂高聚物,通常称之为老化树脂。任孝林[ 22 ]等研究了环氧树脂水洗过程的乳化现象,指出乳化是由于闭环反应不完全产生的含羟基的副产物的存在,乳化形式为W/O型,羟基与水亲和,形成稳定的界面层。解决办法为精制阶段采用低浓度碱并加入溶剂溶解。在溶解萃取水洗过程中不可避免会出现乳化现象,水洗次数愈多,乳化愈严重,大量的环氧树脂-有机溶剂的乳液进入废水中,据统计,每生产1吨环氧树脂约产生5~8吨水洗废水,且COD、BOD值相当高,不经处理会造成环境污染。 尽管采用水洗工艺很难把无机氯含量降低到1ppm以下,但水洗工艺仍是必要的,关键是如何完善水洗后处理工艺,减少水洗次数,尽量减少“废水”排放量。 [ 23 ]采用连续水洗法对环氧树脂溶液进行处理,可以将无机氯含量从1000ppm降到10ppm,而产生的废水量很小,且可以循环利用。 于文东[ 24]等人另辟途径,采用离心萃取器离心分离氯离子含量极高的纯粹的环氧树脂液和环氧树脂-苯溶液,经工业化装置试验,前者使无机氯下降到100ppm以下,后者则下降到5ppm以下,达到电工级水平。 另外的解决办法可用弱酸如CO2(干冰)、醋酸、磷酸、磷酸氢钠,硫酸氢钠等中和过量的碱,使反应体系保持为弱酸性,水洗分层效果好,不易乳化。同时在助滤剂如硅藻土,白土,硼润土,高岭土等存在的情况下采用新型过滤机械滤除体系中生成的盐和机械杂质,则能大大减少水洗次数和废水量。 陈建新[ 25,26]针对环氧树脂生产中产生的老化树脂进行了研究,并提出了整套回收工艺,并建立了环氧树脂清洁生产工艺及其数学模型。对于乳化的树脂液采用离心分离装置进行分层处理,树脂液回到前工序利用,老化树脂层则采用强极性溶剂溶解,经脱除溶剂后得到的树脂环氧值达到0.38eq/100g以上,可以用于防腐领域。 (2)采用甲苯代替纯苯 过去国内厂家生产中,低分子量的环氧树脂采用苯作溶剂,苯具有和环氧树脂相接近的溶解度参数,相溶性好的特点,但沸点较低(78℃),水洗温度相对较低,产品存在气味。采用甲苯(沸点115℃),或甲基异丁基酮(沸点110℃)作为溶剂,毒性较小,水洗温度较高,基本上无气味,水洗分层效果好,不易乳化,可以减少水洗排放水量中的甲苯量,有效降低COD值,保护环境。 (3)采用新工艺治理“三废”,加强回收利用 国内已有专利报道采用乙醇,水与废水中的甲苯形成三元共沸物与环氧氯丙烷废水一道进行精馏分离回收环氧氯丙烷及甲苯,回收利用率高达98%以上。 无锡树脂厂与江南大学生物工程学院[ 27]合作,开发成功了环氧树脂高浓度废水治理闭路循环新工艺,其工艺路线如下: 将第一、第二次水洗排放废水(高浓度废水)混合进入废水调节池,添加絮凝剂,使有机物(下面简称油)与水相分层,油上浮于水相之上。采用上浮溢流法分离除油,除油后的水溶液浓缩,在结晶釜内使浓缩液结晶(结晶主体为NaCl,还有少量为NaOH,以下称为碱盐),碱盐结晶与母液分离,其母液循环进入废水调节池,物流主体构成封闭循环圈。 ![]() 由于物流主体构成封闭循环圈,各单元操作的物性在循环初期均随循环批数的增加发生了较大幅度的变化,与原废水有较大差异。控制各单元操作的工艺条件,使循环在5~6批时达到平衡态,即各操作点物性不再变化而在某一数值的上下浮动。在平衡态下操作周而复始。实现真正意义上的闭路循环和清洁生产。 司景[28]提出了如下的环氧树脂废水治理工艺:含甲苯废水静置分离粗甲苯,经气浮除去悬浮的有机层(老化树脂)送活性炭吸收塔吸收脱除甲苯,失活的饱和活性炭与煤炭一起混合作为锅炉燃料,不会引起二次污染,下层水层与环氧氯丙烷废水经热力水解成为易生物降解的丙三醇废水汇集,经厌氧,好氧生物氧化处理后达标排放。 南亚环氧树脂(昆山)有限公司[29]将盐脚废水经有机相分离后,无机相通过中和,浓缩,结晶得到可用于工业生产的工业用盐。 晨光化工研究院[30]摸索成功了一套环氧树脂废水处理工艺,不仅将废水回用于前面水洗工序,而且将浓缩得到的液碱回用于生产,结晶得到的盐外售于氯碱企业,不仅创造了经济价值,而且作到清洁生产,避免了环境污染,取得了良好的社会效益。 参考文献 1孙曼灵 《环氧树脂应用技术与原理》 机械工业出版社 [2001] 2王德中 《环氧树脂生产与应用》 化学工业出版社 [2001] 3 《CGY-331环氧树脂合成工艺及操作法》 晨光院内部资料 4 Lee H,Neville K In: Encyclopedia of Polymer Science and Technology. Mark HF, Gaylord N G,eds Vol6 New York:Interscience 1967 P209 5 陈声锐著 《环氧树脂》 P39~42 原燃化工业出版社 6 《环氧树脂生产与应用》 上海树脂厂编 燃料工业出版社 (1972) 7 《环氧树脂合成新工艺的理论探讨》(内部资料)无锡树脂厂 (1970) 8 于浩 路太平 《热固性树脂》 18~22 7 (3) 1992 9 于浩 路太平 《热固性树脂》 10~15 9 (1) 1995 10张晖等 《第十次全国环氧树脂应用技术学会论文集》 [2003] 11 邢殿香等 《液体双酚A环氧树脂合成工艺》中国环氧树脂行业在线网站文章(2003 11 10) 12 梁平辉 环氧树脂颜色形成及机理 《热固性树脂》48~53 13(3) 1998 13 梁平辉 高纯低粘环氧树脂合成综述 《热固性树脂》44~55 8(2)1993 14 刘广宇 郭忠江 高效液相色谱在双酚A环氧树脂生产中的应用 《热固性树脂》20~21 19 (2)2004 15 张晖等 优化生产工艺,实现EYD型环氧树脂无色化 《环氧树脂应用技术》 4~6 19 (2) 2002 16 钱祖荣 《热固性树脂》 15~19 12 (4) 1997 17 谢文峰 《热固性树脂》 31~35 6 (4) 1991 18 UP4585838 EP185622 JP58-178116 US4499255 US4684701 19日特开昭 63-254121 62-238278 85-31516 87-199222 86-159111 87-289573 87-100515 20 查文海 关于降低环氧树脂易皂化氯的方法 《热固性树脂》 52~54 7 (4) 1992 21 孙根新 顾良忠 李永强等 环氧树脂脱溶方式的改进 《热固性树脂》22~24 19 (4)2004 22 任孝林 曹爱军 马东尧等 环氧树脂水洗乳化研究 《热固性树脂》 5~7 12 (1)1997 23 环氧树脂连续化水洗工艺研究 《热固性树脂》 5~7 15 (1)2000 24 于文东 E-44环氧树脂胶液的净化 中国环氧树脂网文章 25 陈建新 张建华 刘群等 环氧树脂生产中老化树脂资源化工艺研究 《热固性树脂》17~19 15 (3) 2000 26 陈建新 张建华 刘群等 环氧树脂清洁生产工艺及其数学模型 《热固性树脂》20~22 18 (4) 2003 27 环氧树脂废水治理 28 司景 《高品质环氧树脂废水污染防治》 中国环氧树脂网文章 29 南亚环氧树脂(昆山)有限公司 《环氧树脂副生工业盐生产简介》中国环氧树脂网文章 30 《环氧树脂废水治理工艺及副产工业盐的回收利用》(内部资料)晨光化工研究院 2006年 |










Leave a Reply
要发表评论,您必须先登录。